📌 문제 (고1 2024년 9월 모의고사 21번 · 4점)

세 양수 a, b, c에 대하여 두 이차함수
f(x) = (x − a)² + b, g(x) = −½(x − c)² + 11
이 있다. 이차방정식 f(x) = g(x)가 서로 다른 두 실근 α, β (α < β)를 가질 때, 함수 h(x)를
h(x) = f(x) (α ≤ x ≤ β), h(x) = g(x) (x < α 또는 x > β)
로 정의한다. y = h(x)의 그래프와 직선 y = k가 서로 다른 세 점에서만 만나는 실수 k의 값이 2와 3일 때, y = 2와 만나는 세 점의 x좌표의 합을 S, y = 3과 만나는 세 점의 x좌표의 합을 T라 하자. T − S = a/2일 때 h(α + β)의 값은?
① 17/2 ② 9 ③ 19/2 ④ 10 ⑤ 21/2 ✅
🎯 출제자의 의도
“이차방정식의 근과 이차함수의 그래프 대칭성을 연결해서 추론할 수 있는가?”
- 두 이차함수의 교점 = f(x) − g(x) = 0의 근이라는 관점을 묻습니다.
- 경우를 대소관계로 분류하여 그래프 개형을 그려내는 능력을 평가합니다.
- 대칭성(축을 기준으로 두 근의 합이 일정하다)을 이용해 좌표의 합을 처리하는 발상을 요구합니다.
🔑 문제풀이 핵심 단서 3가지
- 단서 1 — 경우의 수 분류
a(f의 축)와 c(g의 축), 그리고 α, β(교점)의 대소관계에 따라 h(x)의 개형은 5가지로 나뉩니다. 이 중 “y = k와 만나는 점이 3개인 k값이 정확히 2개“인 경우만 조건을 만족합니다. - 단서 2 — 대칭축을 이용한 좌표의 합
g(x)는 축이 x = c이므로 g(x) = k의 두 근의 합은 항상 2c. 마찬가지로 f(x)는 축이 x = a이므로 두 근의 합은 2a. - 단서 3 — T − S 해석
S와 T는 모두 “2c + (어떤 하나의 x좌표)” 꼴. 따라서 T − S는 남은 한 점의 x좌표 차이로 깔끔히 정리됩니다.
📖 상세 풀이
[1단계] 경우 분류 — h(x)의 개형 다섯 가지

네 실수 a, c, α, β의 대소관계에 따라 h(x)의 개형과 “y = k가 서로 다른 세 점에서 만나도록 하는 k의 개수”는 다음과 같이 나뉩니다.
- ① β ≤ a, c < a → k의 개수 = 0 ❌
- ② α < a < β, c < a → k의 개수 = 2 ⭕
- ③ α < a < β, a = c → k의 개수 = 1 ❌
- ④ α < a < β, a < c → k의 개수 = 2 ⭕
- ⑤ a ≤ α, a < c → k의 개수 = 0 ❌
조건(k값 2개 = 2, 3)을 만족하는 경우는 ② 또는 ④ 두 가지뿐입니다.
[2단계] 경우 ② 검증 — α < a < β, c < a


이 경우 조건에 의해 b = 2, h(β) = 3입니다.
y = 2와 만나는 세 점의 x좌표를 작은 수부터 x₁, x₂, x₃, y = 3과 만나는 세 점의 x좌표를 x₄, x₅, x₆라 하면:
- x₁ + x₃ = 2c (g의 축이 c), x₂ = a(f의 꼭짓점이 y=2에 접함) ⇒ S = 2c + a
- x₄ + x₆ = 2c ⇒ T = 2c + x₅
- ∴ T − S = x₅ − a
그런데 이 경우 그래프에서 x₅ < a이므로 T − S < 0. 조건 T − S = a/2 > 0과 모순. ❌
[3단계] 경우 ④ 검증 — α < a < β, a < c (정답 경우)


이 경우 b = 2, h(α) = 3입니다. 같은 방식으로 좌표의 합을 계산하면:
- S = 2c + a
- T = 2c + x₅
- T − S = x₅ − a = a/2 ⇒ x₅ = (3/2)a ✅
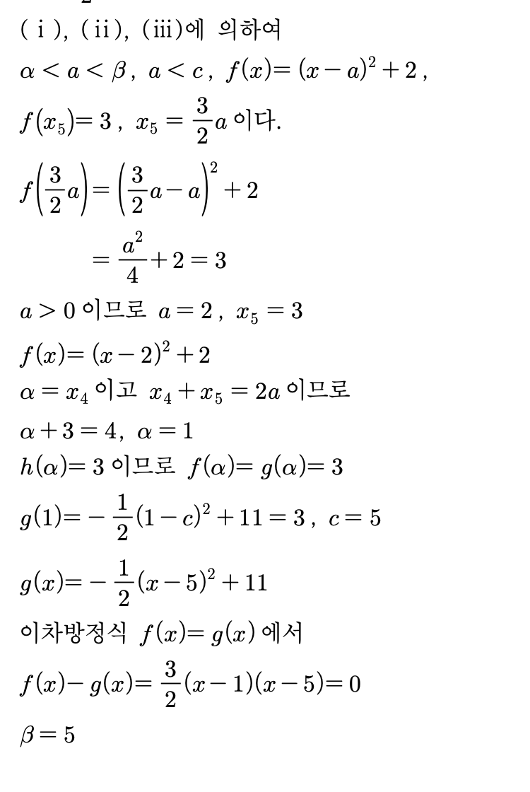
[4단계] a, α, c, β 값 계산

f(x) = (x − a)² + 2이고, f(x₅) = 3, x₅ = (3/2)a이므로:
f(3a/2) = (3a/2 − a)² + 2 = a²/4 + 2 = 3
⇒ a² = 4, a > 0이므로 a = 2, x₅ = 3
따라서 f(x) = (x − 2)² + 2. 또한 경우 ④에서 α = x₄이고 f(x)의 축 x = a = 2에 대한 대칭성에서 x₄ + x₅ = 2a = 4 ⇒ α + 3 = 4 ⇒ α = 1
h(α) = 3에서 f(1) = g(1) = 3:
g(1) = −½(1 − c)² + 11 = 3 ⇒ (1 − c)² = 16 ⇒ c = 5 (c > 1)
⇒ g(x) = −½(x − 5)² + 11
[5단계] β 구하고 h(α + β) 계산
f(x) − g(x)를 전개하면:
f(x) − g(x) = (3/2)(x − 1)(x − 5) = 0
⇒ 근은 x = 1, 5. 이미 α = 1이므로 β = 5.

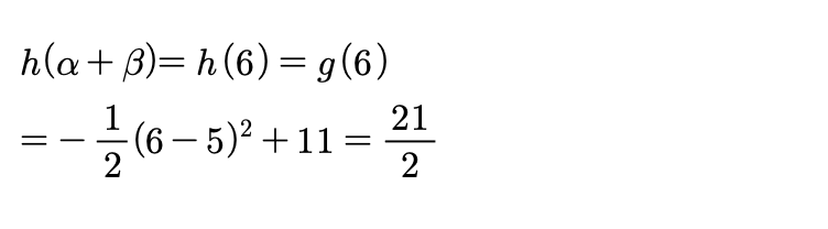
따라서 α + β = 6이고, β = 5 < 6이므로 h(6) = g(6):
h(6) = g(6) = −½(6 − 5)² + 11 = −½ + 11 = 21/2
✅ 정답: ⑤ 21/2
⚡ 시험용 직관적 빠른풀이 (3분 컷)
STEP 1. “k가 정확히 2개” 조건 → 경우 ② 또는 ④만 가능. 부호판별만 먼저 하라.
- 경우 ②: 그래프상 x₅ < a → T − S < 0. 그런데 a/2 > 0이므로 바로 제외.
- ∴ 경우 ④로 확정. b = 2, h(α) = 3.
STEP 2. 축 대칭으로 S, T 모두 “2c + 무엇”으로 쪼개기.
T − S = x₅ − a = a/2 ⇒ x₅ = (3/2)a
STEP 3. f(x₅) = 3에 대입 → (a/2)² = 1 → a = 2.
STEP 4. α는 f의 축 대칭점. α + x₅ = 2a = 4 → α = 1.
STEP 5. g(1) = 3 → (1 − c)² = 16 → c = 5. 따라서 β = 5.
STEP 6. α + β = 6 > β이므로 h(6) = g(6) = 11 − ½ = 21/2.
🔥 핵심 한 줄: “g의 축은 c, f의 축은 a. 두 근의 합 = 2×축이라는 사실만 쓰면 S, T는 알아서 정리된다.”
💡 이 문제 학습 포인트
- (1) 경우분류의 효율화: 5가지 경우를 모두 검토하지 말고, k의 개수 = 2인 경우만 남기면 2개(②,④)로 좁혀집니다.
- (2) 축 대칭성의 위력: “y = k와의 두 교점의 x좌표 합 = 2×(포물선의 축)”. 이 한 문장이 문제 전체를 관통합니다.
- (3) 부등식으로 경우 배제: 방정식을 다 세우기 전에 T − S의 부호만 비교해도 경우 ②를 1초만에 버릴 수 있습니다.
- (4) h(α + β) 함정: α + β가 정의 구간 [α, β]에 들어가는지 반드시 확인 → 6 > β = 5이므로 g를 씁니다.
📚 관련 출처: 2024학년도 9월 고1 전국연합학력평가 수학 21번 (4점, 최고난도)