개념원리 공통수학1 답지 (6편)
2022 개정 교육과정 | Page 241~303 (완결)
공통수학1 답지 6편 활용 가이드
2022 개정 교육과정이 반영된 ‘개념원리 공통수학1’의 마지막 답지 6편입니다. 이번 포스팅에서는 241페이지부터 303페이지(끝)까지의 모든 문제 풀이와 정답을 제공합니다.
🎉 완결: 여기까지 오시느라 수고 많으셨습니다. 답지는 학습의 보조 도구일 뿐, 진짜 실력은 스스로 고민하는 시간에서 나온다는 점 잊지 마세요!
이전 범위의 답지가 필요하신 경우, 하단의 바로가기 버튼을 통해 이동하실 수 있습니다.
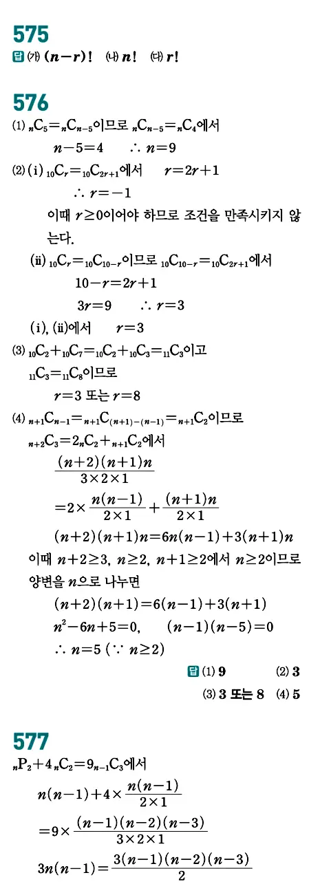
정답 및 해설 (Page 241 ~ 303)

– 241 –
– 242 –
– 243 –
– 244 –
– 245 –
– 246 –
– 247 –
– 248 –
– 249 –
– 250 –
– 251 –
– 252 –
– 253 –
– 254 –
– 255 –
– 256 –
– 257 –
– 258 –
– 259 –
– 260 –
– 261 –
– 262 –
– 263 –
– 264 –
– 265 –
– 266 –
– 267 –
– 268 –
– 269 –
– 270 –
– 271 –
– 272 –
– 273 –
– 274 –
– 275 –
– 276 –
– 277 –
– 278 –
– 279 –
– 280 –
– 281 –
– 282 –
– 283 –
– 284 –
– 285 –
– 286 –
– 287 –
– 288 –
– 289 –
– 290 –
– 291 –
– 292 –
– 293 –
– 294 –
– 295 –
– 296 –
– 297 –
– 298 –
– 299 –
– 300 –
– 301 –
– 302 –
– 303 –
개념원리 공통수학1 답지 전체보기
다른 구간의 답지가 필요하시면 아래 버튼을 클릭하세요.
학습 마무리 조언
- 꾸준함이 정답: 매일 조금씩이라도 문제를 풀고 오답을 정리하는 습관이 수학 실력 향상의 지름길입니다.
- 개념 재확인: 문제를 풀면서 헷갈렸던 개념은 반드시 본문으로 돌아가 다시 한번 정독하세요.
이차방정식의 기본정리
판별식
근과 계수와의 관계














⚠️ 저작권 안내 및 이용 주의사항
- 본 블로그에 게시된 모든 자료(답지 및 해설)의 저작권은 해당 교재의 출판사에 있습니다.
- 자료는 오직 학생들의 채점, 오답 정리, 자기주도 학습용으로만 활용해 주시기 바랍니다.
- 제공된 파일을 상업적으로 이용하거나, 타 사이트에 무단 배포하여 발생하는 모든 법적 책임은 이용자 본인에게 있습니다.
- 저작권 관련 문제가 있거나 삭제를 원하시는 출판사 관계자분께서는 [leinbow@gmail.com]로 연락 주시면 즉시 조치하겠습니다.