개념원리 공통수학1 답지 및 해설
2022 개정 교육과정 반영 | 빠른 정답 확인용
개념원리 공통수학1 답지 활용 가이드
고등 수학의 기본서로 불리는 ‘개념원리 공통수학1’의 답지입니다. 2022 개정 교육과정이 적용되면서 수학 상/하가 공통수학1/2로 변경되었습니다. 본 포스팅에서는 학생들이 학습 후 빠르게 채점할 수 있도록 고화질의 빠른 정답 이미지를 제공합니다.
⚠️ 필독: 답지는 반드시 문제를 먼저 스스로 풀어본 뒤, 채점과 오답 확인의 용도로만 사용하시기 바랍니다. 해설을 보고 베끼는 것은 수학 실력 향상에 도움이 되지 않습니다.
아래 이미지는 순서대로 업로드되어 있으며, 모바일 환경에서도 확대하여 선명하게 확인하실 수 있습니다.
개념원리 공통수학1 빠른 정답 (이미지 뷰어)

Page 1
Page 2
Page 3
Page 4

Page 5
Page 6
Page 7
Page 8
Page 9

Page 10
Page 11
Page 12
Page 13
Page 14
효율적인 수학 학습법 Tip
오답 노트 작성: 답지를 보고 틀린 문제를 확인했다면, 단순히 정답만 고치지 말고 왜 틀렸는지 분석하는 과정이 필수적입니다. 개념이 부족했는지, 계산 실수가 있었는지 파악하세요.
반복 학습: 개념원리는 기본기를 다지는 교재입니다. 틀린 문제는 2~3일 뒤에 답지 없이 다시 한 번 풀어보며 온전히 내 것으로 만드는 것이 중요합니다.
개념원리 공통수학1 답지 (전과정 1~40p)
2022 개정 교육과정 | 고화질 해설 이미지
공통수학1 답지 활용 안내
2022 개정 교육과정이 반영된 ‘개념원리 공통수학1’의 전체 답지와 상세 해설입니다. 총 40페이지 분량의 이미지를 순서대로 정리하였습니다.
💡 참고: 이미지 용량이 크므로 와이파이 환경에서 확인하시는 것을 권장합니다. 이미지가 많아 로딩에 시간이 조금 걸릴 수 있습니다.
채점 후 틀린 문제는 반드시 해설을 꼼꼼히 읽고 오답노트를 작성하여 실력을 키우시길 바랍니다.
정답 및 해설 (Page 1 ~ 40)
– 1 –
– 2 –
– 3 –
– 4 –
– 5 –
– 6 –
– 7 –
– 8 –
– 9 –
– 10 –
– 11 –
– 12 –
– 13 –
– 14 –
– 15 –
– 16 –
– 17 –
– 18 –
– 19 –
– 20 –
– 21 –
– 22 –
– 23 –
– 24 –
– 25 –
– 26 –
– 27 –
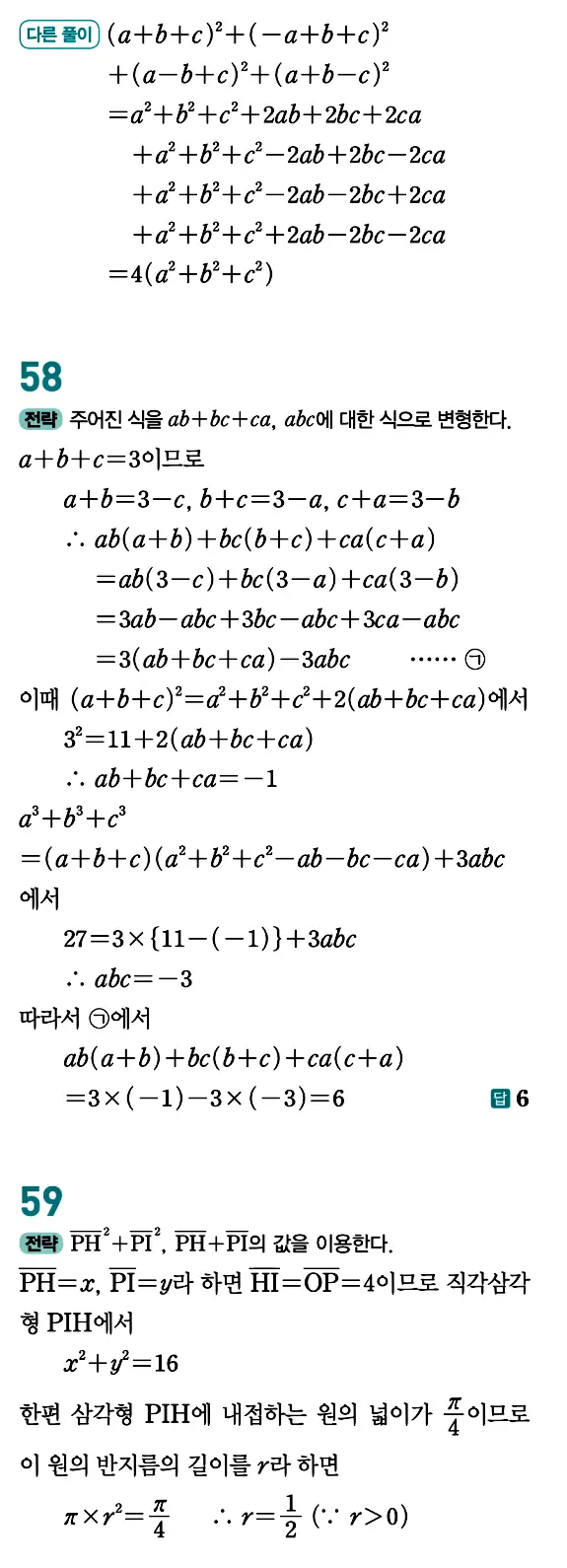
– 28 –
– 29 –
– 30 –
– 31 –
– 32 –
– 33 –
– 34 –
– 35 –
– 36 –
– 37 –
– 38 –
– 39 –
– 40 –
학습 팁: 답지를 효과적으로 활용하는 법
- 채점 용도로만 사용: 문제를 풀기 전에 답지를 먼저 보는 것은 ‘학습’이 아니라 ‘노동’입니다.
- 오답 분석 필수: 틀린 문제는 해설의 풀이 과정을 따라가며 어느 부분에서 막혔는지 확인하세요.
- 재풀이: 답지를 보고 이해했다면, 책을 덮고 빈 종이에 다시 한 번 스스로 풀어봐야 진짜 실력이 됩니다.
개념원리 공통수학1 답지 (1편)
2022 개정 교육과정 | Page 1~40
공통수학1 답지 활용 안내
2022 개정 교육과정이 반영된 ‘개념원리 공통수학1’의 답지 1편입니다. (1페이지 ~ 40페이지)
💡 참고: 이미지 용량이 크므로 와이파이 환경에서 확인하시는 것을 권장합니다. 이미지가 많아 로딩에 시간이 조금 걸릴 수 있습니다.
채점 후 틀린 문제는 반드시 해설을 꼼꼼히 읽고 오답노트를 작성하여 실력을 키우시길 바랍니다.
정답 및 해설 (Page 1 ~ 40)
– 1 –
– 2 –
– 3 –
– 4 –
– 5 –
– 6 –
– 7 –
– 8 –
– 9 –
– 10 –
– 11 –
– 12 –
– 13 –
– 14 –
– 15 –
– 16 –
– 17 –
– 18 –
– 19 –
– 20 –
– 21 –
– 22 –
– 23 –
– 24 –
– 25 –
– 26 –
– 27 –
– 28 –
– 29 –
– 30 –
– 31 –
– 32 –
– 33 –
– 34 –
– 35 –
– 36 –
– 37 –
– 38 –
– 39 –
– 40 –
개념원리 공통수학1 답지 전체보기
다른 편으로 이동하려면 아래 버튼을 클릭하세요.
학습 팁: 답지를 효과적으로 활용하는 법
- 채점 용도로만 사용: 문제를 풀기 전에 답지를 먼저 보는 것은 ‘학습’이 아니라 ‘노동’입니다.
- 오답 분석 필수: 틀린 문제는 해설의 풀이 과정을 따라가며 어느 부분에서 막혔는지 확인하세요.
- 재풀이: 답지를 보고 이해했다면, 책을 덮고 빈 종이에 다시 한 번 스스로 풀어봐야 진짜 실력이 됩니다.
⚠️ 저작권 안내 및 이용 주의사항
- 본 블로그에 게시된 모든 자료(답지 및 해설)의 저작권은 해당 교재의 출판사에 있습니다.
- 자료는 오직 학생들의 채점, 오답 정리, 자기주도 학습용으로만 활용해 주시기 바랍니다.
- 제공된 파일을 상업적으로 이용하거나, 타 사이트에 무단 배포하여 발생하는 모든 법적 책임은 이용자 본인에게 있습니다.
- 저작권 관련 문제가 있거나 삭제를 원하시는 출판사 관계자분께서는 [leinbow@gmail.com]로 연락 주시면 즉시 조치하겠습니다.