개념원리공통수학1답지[2]

다항식의기본

다항식의 덧셈 뺄셈 곱셈

다항식의 나눗셈

곱셈공식(1)

곱셈공식(2)

곱셈공식의변형

개념원리 공통수학1 답지 및 해설 (2편: 41~90p) – 2025 최신판

개념원리 공통수학1 답지 (2편)

2022 개정 교육과정 | Page 41~90

공통수학1 답지 2편 활용 안내

2022 개정 교육과정이 반영된 ‘개념원리 공통수학1’의 답지 2편입니다. 이번 포스팅에서는 41페이지부터 90페이지까지의 해설과 정답을 다룹니다.

💡 Tip: 본 자료는 고화질 이미지로 제공됩니다. 로딩에 시간이 걸릴 경우 잠시만 기다려주세요.

1편(1~40p)이나 이후 페이지가 필요하신 분들은 본문 하단의 링크 버튼을 이용해 주세요.

정답 및 해설 (Page 41 ~ 90)

개념원리 공통수학1 답지 41페이지
– 41 –
개념원리 공통수학1 답지 42페이지
– 42 –
개념원리 공통수학1 답지 43페이지
– 43 –
개념원리 공통수학1 답지 44페이지
– 44 –
개념원리 공통수학1 답지 45페이지
– 45 –
개념원리 공통수학1 답지 46페이지
– 46 –
개념원리 공통수학1 답지 47페이지
– 47 –
개념원리 공통수학1 답지 48페이지
– 48 –
개념원리 공통수학1 답지 49페이지
– 49 –
개념원리 공통수학1 답지 50페이지
– 50 –
개념원리 공통수학1 답지 51페이지
– 51 –
개념원리 공통수학1 답지 52페이지
– 52 –
개념원리 공통수학1 답지 53페이지
– 53 –
개념원리 공통수학1 답지 54페이지
– 54 –
개념원리 공통수학1 답지 55페이지
– 55 –
개념원리 공통수학1 답지 56페이지
– 56 –
개념원리 공통수학1 답지 57페이지
– 57 –
개념원리 공통수학1 답지 58페이지
– 58 –
개념원리 공통수학1 답지 59페이지
– 59 –
개념원리 공통수학1 답지 60페이지
– 60 –
개념원리 공통수학1 답지 61페이지
– 61 –
개념원리 공통수학1 답지 62페이지
– 62 –
개념원리 공통수학1 답지 63페이지
– 63 –
개념원리 공통수학1 답지 64페이지
– 64 –
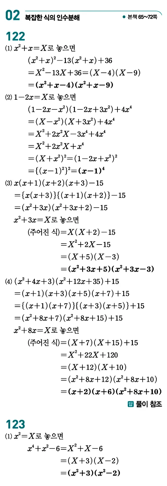
개념원리 공통수학1 답지 65페이지
– 65 –
개념원리 공통수학1 답지 66페이지
– 66 –
개념원리 공통수학1 답지 67페이지
– 67 –
개념원리 공통수학1 답지 68페이지
– 68 –
개념원리 공통수학1 답지 69페이지
– 69 –
개념원리 공통수학1 답지 70페이지
– 70 –
개념원리 공통수학1 답지 71페이지
– 71 –
개념원리 공통수학1 답지 72페이지
– 72 –
개념원리 공통수학1 답지 73페이지
– 73 –
개념원리 공통수학1 답지 74페이지
– 74 –
개념원리 공통수학1 답지 75페이지
– 75 –
개념원리 공통수학1 답지 76페이지
– 76 –
개념원리 공통수학1 답지 77페이지
– 77 –
개념원리 공통수학1 답지 78페이지
– 78 –
개념원리 공통수학1 답지 79페이지
– 79 –
개념원리 공통수학1 답지 80페이지
– 80 –
개념원리 공통수학1 답지 81페이지
– 81 –
개념원리 공통수학1 답지 82페이지
– 82 –
개념원리 공통수학1 답지 83페이지
– 83 –
개념원리 공통수학1 답지 84페이지
– 84 –
개념원리 공통수학1 답지 85페이지
– 85 –
개념원리 공통수학1 답지 86페이지
– 86 –
개념원리 공통수학1 답지 87페이지
– 87 –
개념원리 공통수학1 답지 88페이지
– 88 –
개념원리 공통수학1 답지 89페이지
– 89 –
개념원리 공통수학1 답지 90페이지
– 90 –

개념원리 공통수학1 답지 전체보기

다른 구간의 답지가 필요하시면 아래 버튼을 클릭하세요.

학습 효율을 높이는 조언

  • 자기주도 학습: 답지는 채점 후에만 확인하세요. 모르는 문제가 나오면 개념 설명을 다시 읽어보는 것이 좋습니다.
  • 반복 풀이: 틀린 문제는 체크해두고 며칠 뒤에 다시 풀어보세요.

© 2025 개념원리 공통수학1 자료실. All rights reserved.

본 포스팅의 이미지는 학습 편의를 위해 제공되며, 저작권은 해당 출판사에 있습니다.

댓글 남기기