개념원리공통수학1답지[4]

단원별답지 포스팅에는
최고의 이론정리 영상과 문제풀이 영상을 제공합니다
좋은 선생님 영상이 있으면 추천해 주세요
여러분의 의견을 귀담아 듣고 수정보완해 나가겠습니다
최고의 수학블로그를 만들겠습니다

인수분해 기본

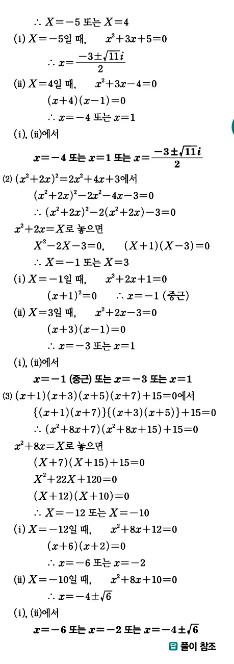
치환을 활용한 인수분해

다양한 인수분해

개념원리 공통수학1 답지 및 해설 (4편: 141~190p) – 2025 최신판

개념원리 공통수학1 답지 (4편)

2022 개정 교육과정 | Page 141~190

공통수학1 답지 4편 활용 안내

2022 개정 교육과정이 반영된 ‘개념원리 공통수학1’의 답지 4편입니다. 이번 페이지에서는 141페이지부터 190페이지까지의 후반부 문제 풀이와 정답을 제공합니다.

💡 참고: 스마트폰이나 태블릿 등 모바일 기기에서도 확대하여 선명하게 확인하실 수 있습니다. 데이터 사용량에 주의하세요.

다른 범위의 답지가 필요하시면 본문 하단의 링크 버튼을 통해 이동하실 수 있습니다.

정답 및 해설 (Page 141 ~ 190)

개념원리 공통수학1 답지 141페이지
– 141 –
개념원리 공통수학1 답지 142페이지
– 142 –
개념원리 공통수학1 답지 143페이지
– 143 –
개념원리 공통수학1 답지 144페이지
– 144 –
개념원리 공통수학1 답지 145페이지
– 145 –
개념원리 공통수학1 답지 146페이지
– 146 –
개념원리 공통수학1 답지 147페이지
– 147 –
개념원리 공통수학1 답지 148페이지
– 148 –
개념원리 공통수학1 답지 149페이지
– 149 –
개념원리 공통수학1 답지 150페이지
– 150 –
개념원리 공통수학1 답지 151페이지
– 151 –
개념원리 공통수학1 답지 152페이지
– 152 –
개념원리 공통수학1 답지 153페이지
– 153 –
개념원리 공통수학1 답지 154페이지
– 154 –
개념원리 공통수학1 답지 155페이지
– 155 –
개념원리 공통수학1 답지 156페이지
– 156 –
개념원리 공통수학1 답지 157페이지
– 157 –
개념원리 공통수학1 답지 158페이지
– 158 –
개념원리 공통수학1 답지 159페이지
– 159 –
개념원리 공통수학1 답지 160페이지
– 160 –
개념원리 공통수학1 답지 161페이지
– 161 –
개념원리 공통수학1 답지 162페이지
– 162 –
개념원리 공통수학1 답지 163페이지
– 163 –
개념원리 공통수학1 답지 164페이지
– 164 –
개념원리 공통수학1 답지 165페이지
– 165 –
개념원리 공통수학1 답지 166페이지
– 166 –
개념원리 공통수학1 답지 167페이지
– 167 –
개념원리 공통수학1 답지 168페이지
– 168 –
개념원리 공통수학1 답지 169페이지
– 169 –
개념원리 공통수학1 답지 170페이지
– 170 –
개념원리 공통수학1 답지 171페이지
– 171 –
개념원리 공통수학1 답지 172페이지
– 172 –
개념원리 공통수학1 답지 173페이지
– 173 –
개념원리 공통수학1 답지 174페이지
– 174 –
개념원리 공통수학1 답지 175페이지
– 175 –
개념원리 공통수학1 답지 176페이지
– 176 –
개념원리 공통수학1 답지 177페이지
– 177 –
개념원리 공통수학1 답지 178페이지
– 178 –
개념원리 공통수학1 답지 179페이지
– 179 –
개념원리 공통수학1 답지 180페이지
– 180 –
개념원리 공통수학1 답지 181페이지
– 181 –
개념원리 공통수학1 답지 182페이지
– 182 –
개념원리 공통수학1 답지 183페이지
– 183 –
개념원리 공통수학1 답지 184페이지
– 184 –
개념원리 공통수학1 답지 185페이지
– 185 –
개념원리 공통수학1 답지 186페이지
– 186 –
개념원리 공통수학1 답지 187페이지
– 187 –
개념원리 공통수학1 답지 188페이지
– 188 –
개념원리 공통수학1 답지 189페이지
– 189 –
개념원리 공통수학1 답지 190페이지
– 190 –

개념원리 공통수학1 답지 전체보기

다른 구간의 답지가 필요하시면 아래 버튼을 클릭하세요.

효과적인 학습을 위한 조언

  • 답지는 최후의 수단: 충분히 고민하고 문제를 푼 뒤에 답지를 확인해야 실력이 늡니다.
  • 모르는 개념 체크: 답지의 풀이를 봐도 이해가 안 된다면 해당 개념 파트로 돌아가 다시 공부하세요.

© 2025 개념원리 공통수학1 자료실. All rights reserved.

본 포스팅의 이미지는 학습 편의를 위해 제공되며, 저작권은 해당 출판사에 있습니다.

댓글 남기기