고1 수학 6월 모의고사 29번 킬러 완벽 해설 | 2022·2023 기출 복소수·다항식

고1 수학에서 가장 까다롭기로 소문난 6월 모의고사 29번 킬러 문항. 이 자리에서 2023년과 2022년 기출 29번 두 문제를 출제의도 → 핵심단서 → 단계별 풀이 → 시험장 빠른풀이 순서로 완벽하게 정리합니다. 단순 해설이 아니라, 왜 그렇게 풀어야 하는지를 이해할 수 있도록 구성했습니다.

📌 이 글을 제대로 활용하는 법
① 문제를 먼저 3분간 스스로 풀어본다 → ② 출제의도 & 핵심단서만 먼저 읽는다 → ③ 다시 풀어본다 → ④ 전체 해설을 본다 → ⑤ 빠른풀이로 시험장 루틴을 암기한다.

🟦 2023년 6월 고1 모의고사 29번  |  복소수의 거듭제곱

📝 문제

2023년 6월 고1 모의고사 29번 문제

요약: 49 이하의 두 자연수 m, n에 대해 {((1+i)/√2)m − in}² = 4 일 때 m+n의 최댓값을 구하는 문제입니다.

🎯 출제자의 의도

“복소수 (1+i)/√2편각이 45°(π/4)인 단위복소수이므로 거듭제곱하면 주기 8로 값이 순환한다. 또한 in은 주기 4로 순환한다. 이 두 주기성을 함께 이해하고, 제곱해서 실수 4가 나오는 조건으로 값이 실수가 되는 경우를 추려낼 수 있는가?”

🔑 문제풀이 핵심단서 3가지

  1. { X }² = 4 이면 X = 2 또는 X = −2 → 괄호 안의 값은 실수여야 한다는 뜻!
  2. ((1+i)/√2)m8가지 값이 주기 8로 반복. 실수값은 m=4k일 때 −1, m=8k일 때 1 뿐.
  3. in은 실수값이 n=4k−2일 때 −1, n=4k일 때 1. m+n을 최대로 하려면 49 이하의 가장 큰 조합을 찾자.

✏️ 상세 해설

[STEP 1] ((1+i)/√2)m의 값을 표로 정리

(1+i)/√2를 거듭제곱해보면 아래와 같이 8가지 값이 주기적으로 나타납니다. (드므아브르 정리의 개념, 단 고1 범위에서는 직접 계산으로 확인)

2023년 6월 29번 해설 1 - 복소수 주기표

[STEP 2] 제곱해서 4가 되는 조건 → 괄호 안은 ±2

{ A − B }² = 4 ⇒ A − B = 2 또는 A − B = −2. 즉 A − B는 반드시 실수여야 합니다. A = ((1+i)/√2)m, B = in에서 둘 다 실수가 되는 경우만 가능.

→ A가 실수인 경우: m은 4의 배수 (m≡0 mod 4, 단 mod 8로 세분화)
  • m=4, 12, 20, 28, 36, 44일 때 A = −1
  • m=8, 16, 24, 32, 40, 48일 때 A = +1

→ B = in이 실수인 경우: n은 짝수
  • n=2, 6, 10, …, 46일 때 B = −1
  • n=4, 8, 12, …, 48일 때 B = +1

[STEP 3] 두 경우로 나누어 최댓값 탐색

2023년 6월 29번 해설 2 - 최댓값 결정

Case ①: A − B = 2   (A=1, B=−1)
m은 8의 배수 → 최대 m=48, n은 4k−2형 → 최대 n=46m+n = 94
Case ②: A − B = −2   (A=−1, B=1)
m은 4의 홀수배 → 최대 m=44, n은 4의 배수 → 최대 n=48 → m+n = 92

🏆 정답: m+n의 최댓값 = 94

⚡ 시험용 직관적 빠른풀이 (2분컷)

1단계  ( )² = 4 ⇒ 괄호 안은 실수 ±2. 바로 “실수 조건”으로 돌입!

2단계  A=(1+i)/√2는 45°짜리 단위복소수 → 8제곱=1이 “공식”처럼 암기.
    Am의 실수값은 m=8k → 1, m=8k+4 → −1 두 가지뿐.

3단계  in의 실수값은 n=4k → 1, n=4k+2 → −1.

4단계  49 이하에서 (A=1, B=−1)이 가장 큰 합을 줌: m=48, n=46 → 94. 끝!

💡 “편각 45° → 주기 8 / i는 주기 4 / 실수되는 건 짝수 번째” 이 세 줄만 기억하면 본 문제는 관찰 문제로 변합니다.

🟪 2022년 6월 고1 모의고사 29번  |  인수정리와 다항식 추론

📝 문제

2022년 6월 고1 모의고사 29번 문제

요약: 삼차다항식 P(x)와 일차다항식 Q(x)가 (가), (나) 조건을 만족시킬 때, Q(0)<0 조건에서 P(2)+Q(8)을 구하는 문제입니다.

🎯 출제자의 의도

“조건 (나)에서 우변이 (일차식)² = 이차식이라는 점, 좌변의 x³−P(x)가 이차식 이하여야 한다는 점, 그리고 (가)에서 P(x)Q(x)가 3차×1차로 나뉨을 종합하여 P(x)의 인수를 추론할 수 있는가?
특히 Q(1)=0인 경우와 Q(1)≠0인 경우로 경우 분할하는 사고력이 핵심.”

🔑 문제풀이 핵심단서 3가지

  1. (나)의 차수 비교: x³−10x+13−P(x) = {Q(x)}²에서 우변은 2차이므로 좌변의 x³가 사라져야 하고, 따라서 P(x)의 최고차항 계수는 1.
  2. (가)의 의미: P(x)Q(x)가 (x²−3x+3)(x−1)로 나누어떨어짐. x²−3x+3은 실수 범위에서 인수분해 불가(판별식<0)인 2차식!
  3. 경우 나누기: Q(x)는 1차이므로 Q(x)=0의 해는 1개. 그 해가 1인지 아닌지로 Case 분할. Q(1)=0 case는 모순이 나와 폐기됨.

✏️ 상세 해설

[STEP 1] Q(1)=0 인 경우 → 모순 확인

Q(x) = a(x−1) (a≠0)로 놓으면 (나)에서
P(x) = x³ − 10x + 13 − a²(x−1)² = x³ − a²x² + (2a²−10)x + 13 − a²
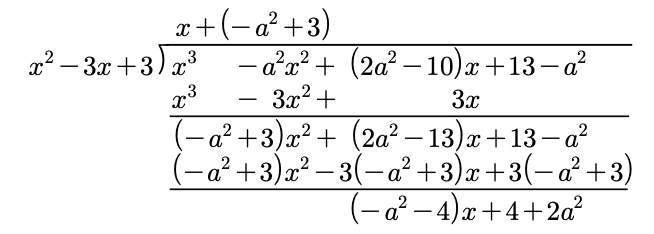
(가)에 의해 이 식이 x²−3x+3으로 나누어떨어져야 합니다. 아래는 실제 나눗셈 과정:

P(x)를 x²-3x+3으로 나누는 과정

나머지 (−a²−4)x + 4 + 2a² = 0이 항등적으로 성립해야 하는데, −a²−4 = 0을 만족하는 실수 a가 없음 → 이 경우는 불가능.

[STEP 2] Q(1)≠0 인 경우 → P(x) 결정

Q(x)는 (x−1)을 인수로 갖지 않으므로, (가) 조건을 만족하려면 P(x)가 (x²−3x+3)(x−1)을 모두 인수로 가져야 합니다. P(x)는 3차 + 최고차항 계수 1이므로:

P(x) = (x²−3x+3)(x−1) = x³ − 4x² + 6x − 3

[STEP 3] Q(x) 결정

(나)에 대입하면:
{Q(x)}² = x³ − 10x + 13 − (x³ − 4x² + 6x − 3) = 4x² − 16x + 16 = (2x−4)²
따라서 Q(x) = 2x−4 또는 Q(x) = −2x+4.
Q(0)<0 조건에서 Q(0)=−4 인 쪽 → Q(x) = 2x − 4.

2022년 6월 29번 전체 해설

[STEP 4] 최종 계산

P(2) = 8 − 16 + 12 − 3 = 1
Q(8) = 16 − 4 = 12
∴ P(2) + Q(8) = 13

🏆 정답: P(2) + Q(8) = 13

⚡ 시험용 직관적 빠른풀이 (3분컷)

1단계 ― 차수감각: (나)에서 {Q}²는 2차 → 좌변의 x³가 상쇄되어야 → P의 최고차 = 1.

2단계 ― 인수 흐름: (가)에서 (2차식)·(x−1)이 P·Q 속에 들어 있어야 함. x²−3x+3은 실수에서 쪼갤 수 없는 덩어리라서 반드시 P(x)가 통째로 먹는다. Q가 1차인데 x²−3x+3을 포함할 수는 없음!

3단계 ― 남는 자리: P는 3차, 이미 (x²−3x+3)을 먹었으니 나머지 자리는 1차. 그 1차 인수가 (x−1)이면 (가) 완성! → P(x) = (x²−3x+3)(x−1) 바로 확정.

4단계 ― 뺄셈: {Q}² = (x³−10x+13) − P(x) = (2x−4)². Q(0)<0 → Q(x) = 2x−4.

5단계 ― 대입: P(2)=1, Q(8)=12 → 답 13.

💡 “2차 덩어리는 P가 먹는다” 한 문장으로 전체 구조가 풀리는 문제입니다. Q(1)=0인 불가능 케이스는 답안 서술용일 뿐, 시험장에서는 “x²−3x+3은 쪼갤 수 없다”는 직관으로 바로 (ii) 케이스로 진입하면 됩니다.

🧠 두 문제가 공통으로 요구하는 사고력

두 문제 모두 “주어진 식을 관찰하여 구조를 파악하는 능력”을 시험합니다.

  • 2023년: 거듭제곱의 주기성과 “실수 조건” 추출
  • 2022년: 차수 비교인수 분배 논리

29번 킬러는 계산이 어려운 게 아니라 “어디서 시작할지”가 어렵습니다. 출제의도를 먼저 파악하는 훈련을 반복하면 4점짜리가 오히려 가장 빠르게 풀리는 문제로 바뀝니다.

— 본 해설은 학습 목적의 정리이며, 문제 저작권은 한국교육과정평가원/교육청에 있습니다. —

댓글 남기기