쎈 미적분2 09. 치환적분법과 부분적분법 답지
안녕하세요. **쎈 미적분2** **09단원 치환적분법과 부분적분법** 정답 및 해설입니다.
미적분 계산의 꽃이자 킬러 문항의 기초가 되는 **고급 적분 기법**입니다. **치환적분**은 속미분 꼴이 보일 때, **부분적분**은 로그, 다항, 삼각, 지수 함수 중 순서를 정해 적분할 때 사용합니다. 복잡한 계산 과정을 실수 없이 따라가는 훈련이 필요합니다.
📌 학습 팁: 부분적분 로다삼지!
부분적분($\int f(x)g'(x) dx = f(x)g(x) – \int f'(x)g(x) dx$) 시, $f(x)$를 정하는 순서는 **로**그 함수, **다**항함수, **삼**각함수, **지**수함수 순으로 정합니다. (로다삼지 암기법 활용)
📂 쎈 미적분2 답지 전체 모음 & 적분 계산 마스터 (클릭)
부분적분($\int f(x)g'(x) dx = f(x)g(x) – \int f'(x)g(x) dx$) 시, $f(x)$를 정하는 순서는 **로**그 함수, **다**항함수, **삼**각함수, **지**수함수 순으로 정합니다. (로다삼지 암기법 활용)
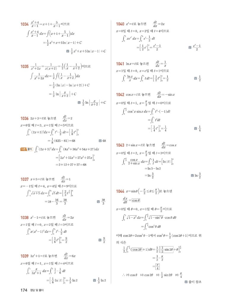
📖 치환/부분적분 정답 및 해설
이미지를 클릭하면 확대됩니다.

🎁 치환적분, 정적분의 범위 변환 팁!
정적분에서 치환적분을 사용할 경우, **적분 구간(위, 아래 끝)**도 치환된 변수에 맞춰 반드시 바꾸어야 합니다. 이 실수를 방지하는 훈련이 필요합니다.
👉 치환적분 계산 실수 줄이는 영상 보러가기



























⚠️ 저작권 안내 및 이용 주의사항
- 본 블로그에 게시된 모든 자료(답지 및 해설)의 저작권은 해당 교재의 출판사에 있습니다.
- 자료는 오직 학생들의 채점, 오답 정리, 자기주도 학습용으로만 활용해 주시기 바랍니다.
- 제공된 파일을 상업적으로 이용하거나, 타 사이트에 무단 배포하여 발생하는 모든 법적 책임은 이용자 본인에게 있습니다.
- 저작권 관련 문제가 있거나 삭제를 원하시는 출판사 관계자분께서는 [leinbow@gmail.com]로 연락 주시면 즉시 조치하겠습니다.