2026 고3 3월 모의고사 수학 22번 – 지수함수 2곡선+직선 교점 거리 조건

2026년 3월 고3 모의고사 공통수학 4점 난이도 ★★★★★ 출제영역: 수학1 지수함수

😰 “2ˣ = X로 치환까지는 했는데, 그 다음에 뭘 해야 할지 모르겠어요”

→ 치환 자체는 맞게 했는데, 이차방정식의 판별식 조건두 근이 모두 양수여야 한다는 조건을 동시에 처리하지 못해서 막히는 경우가 대부분이에요.

① 지수함수 문제에서 “두 곡선의 차이”가 나오면, h(x) = g(x) − f(x)를 먼저 정리하고 2ˣ = X로 치환하세요. 지수식이 이차식으로 깔끔하게 바뀝니다.

② 치환 후에는 반드시 세 가지 조건을 체크하세요: ❶ 판별식 D > 0 (서로 다른 두 근) ❷ 두 근의 곱 > 0 (양수 조건) ❸ 자연수 k의 범위 확정.

💪 이 ‘치환 → 이차방정식 → 근의 조건’ 패턴은 수능 킬러 문항의 단골 구조예요. 이 문제를 완벽히 이해하면 수능 고난도 지수·로그 문제까지 자신 있게 도전할 수 있습니다!

📋 문제

2026년 3월 고3 모의고사 수학 22번 문제 - 지수함수 2곡선+직선 교점 거리 조건

🎯 이 문제의 핵심 포인트

Point 1. h(x) = g(x) − f(x) 정리 → 2ˣ = X 치환

두 곡선 y = f(x), y = g(x) 사이의 거리 조건이 주어지면, 차이 함수 h(x)를 먼저 구성하세요.

h(x)에 포함된 4ˣ = (2ˣ)², 2ˣ, (1/2)ᵏ 등을 2ˣ = X(X > 0)로 치환하면 X에 대한 이차방정식으로 변환됩니다.

Point 2. 이차방정식의 근의 조건 3가지 동시 체크

치환 후 이차방정식 2X² − X + 1/2ᵏ − 1/5 = 0에서:

판별식 D > 0 → 서로 다른 두 실수 t값(= a, b) 존재 조건

두 근의 곱 > 0 → X = 2ˣ > 0이므로 양의 근만 허용

❸ 두 조건을 결합하여 자연수 k의 값을 확정하세요.

Point 3. 풀이 순서

① h(x) = g(x) − f(x) 정리 → ② 2ˣ = X 치환으로 이차방정식 도출 → ③ 판별식 + 근의 곱 조건으로 k = 2 확정 → ④ 2ᵖ = 2ᵃ⁺ᵇ = 두 근의 곱으로 p 계산 → ⑤ k × (1/2)ᵖ 최종 계산

📖 공식 해설

2026년 3월 고3 모의고사 수학 22번 해설
2026년 3월 고3 모의고사 수학 22번 해설 (계속)

✏️ 해설 정리

STEP 1. 차이 함수 정리 및 치환

직선 x = t가 두 곡선 y = f(x), y = g(x)와 만나는 두 점 A, B 사이의 거리가 1/5이 되도록 하는 실수 t의 값을 a, b라 놓습니다.

h(x) = g(x) − f(x)를 정리하면 4ˣ, 2ˣ, (1/2)ᵏ 항으로 구성되는데, 여기서 2ˣ = X (X > 0)로 치환하면 X에 대한 이차방정식이 만들어져요.

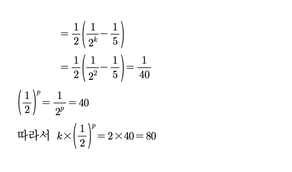
STEP 2. 이차방정식의 근의 조건으로 k 확정

이차방정식 2X² − X + 1/2ᵏ − 1/5 = 0의 판별식 D > 0에서 40/13 < 2ᵏ 조건을 얻고,

두 근의 곱 > 0 (X > 0이므로)에서 2ᵏ < 5 조건을 얻어요.

두 부등식을 결합하면 자연수 k = 2로 확정됩니다.

STEP 3. 최종 계산

2ᵖ = 2ᵃ⁺ᵇ = 2ᵃ × 2ᵇ (두 근의 곱)을 이용하여 (1/2)ᵖ 값을 구한 뒤,

k × (1/2)ᵖ = 2 × 40 = 80을 계산합니다.

정답: 80

※ 정확한 수치와 계산 과정은 위 해설 이미지를 참고하세요.

🚨 실수 방지 꿀팁

  • 치환 후 근의 조건 누락: 2ˣ = X로 치환했으면 반드시 X > 0 조건을 기억하세요! 판별식만 보고 근의 부호를 체크하지 않으면 틀립니다.
  • 판별식과 근의 곱 조건 혼동: D > 0은 “서로 다른 두 근 존재”, 두 근의 곱 > 0은 “같은 부호”. 이 두 조건을 동시에 적용해야 k의 범위가 좁혀져요.
  • 2ᵖ = 2ᵃ × 2ᵇ 관계 놓침: a + b = p이므로 2ᵖ = 2ᵃ⁺ᵇ = 2ᵃ × 2ᵇ (= 이차방정식 두 근의 곱)입니다. 근과 계수의 관계를 바로 활용하세요.
  • 4점 문제 시간 배분: 이 문제는 공통수학 마지막 문항(22번)으로, 시간이 부족할 수 있어요. 치환까지 빠르게 진행하고, 근의 조건에서 k를 확정하는 데 집중하세요.

🎬 풀이 영상

📌 좋은 풀이 영상을 찾는 대로 업데이트합니다.
추천 영상이 있으면 댓글로 알려주세요!

📚 이 문제와 함께 보면 좋은 포스트

◀ 21번 풀이 전체 답지
공통 마지막 문제입니다

📌 본 포스트는 2026학년도 3월 고3 전국연합학력평가 수학영역의 문제를 분석한 해설입니다.

오류가 있거나 더 좋은 풀이 방법이 있다면 댓글로 알려주세요. 지속적으로 업데이트합니다.

2026 고3 3월 모의고사 수학 네비게이션

2026 고3 3월 모의고사 — 수학 전 문항 해설 바로가기 (공통 + 확통 · 미적 · 기하)

공통 1~22
확률과통계
미적분
기하
local2onlineacademy.com · 2026 고3 3월 모의고사 수학 해설

댓글 남기기