개념원리 중1-1 02. 최대공약수와 최소공배수 답지
안녕하세요. **개념원리 중1-1** **02단원 최대공약수와 최소공배수** 정답 및 해설입니다.
이 단원의 핵심은 **활용 문제**에서 최대공약수를 구해야 하는지(나누어 담기, 가능한 큰), 최소공배수를 구해야 하는지(동시에 만나는, 가능한 작은)를 **판단**하는 것입니다. 소인수분해를 이용한 계산법을 정확히 익히세요.
[Image of Venn diagram showing GCD and LCM of two numbers]**최대공약수(GCD):** ‘가능한 한 많은’, ‘최대의’, ‘똑같이 나누어’ 등의 키워드가 나옵니다.
**최소공배수(LCM):** ‘가장 작은’, ‘처음으로 다시’, ‘동시에’ 등의 키워드가 나옵니다.
📖 최대공약수와 최소공배수 정답 및 해설
이미지를 클릭하면 확대됩니다.

복잡한 활용 문제는 **그림**이나 **벤 다이어그램**을 그려서 전체 상황을 파악하는 것이 우선입니다. 풀이를 보고도 이해가 안 된다면 **활용 문제 특강**을 참고하세요.
👉 활용 문제 심화 공략 영상 보러가기▼ 개념원리 중1-1 답지 41페이지
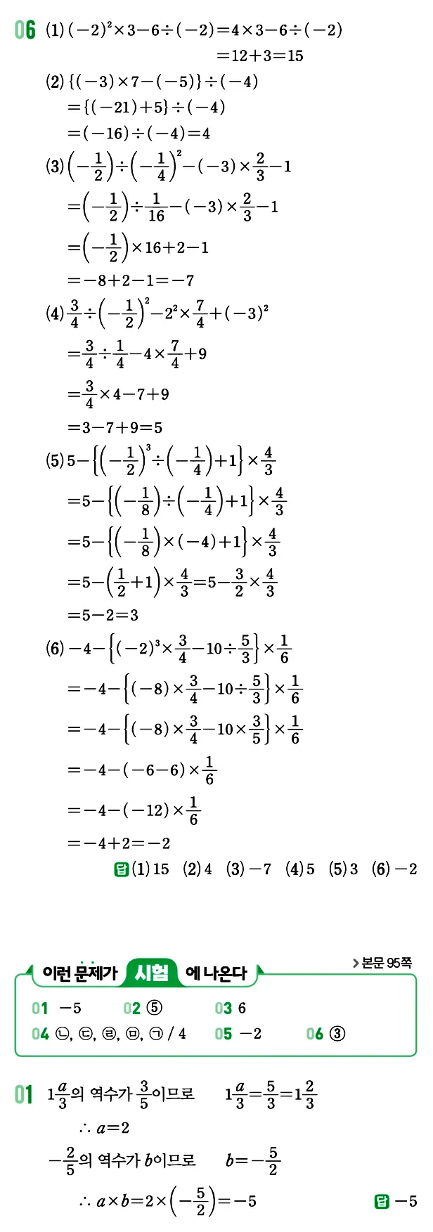
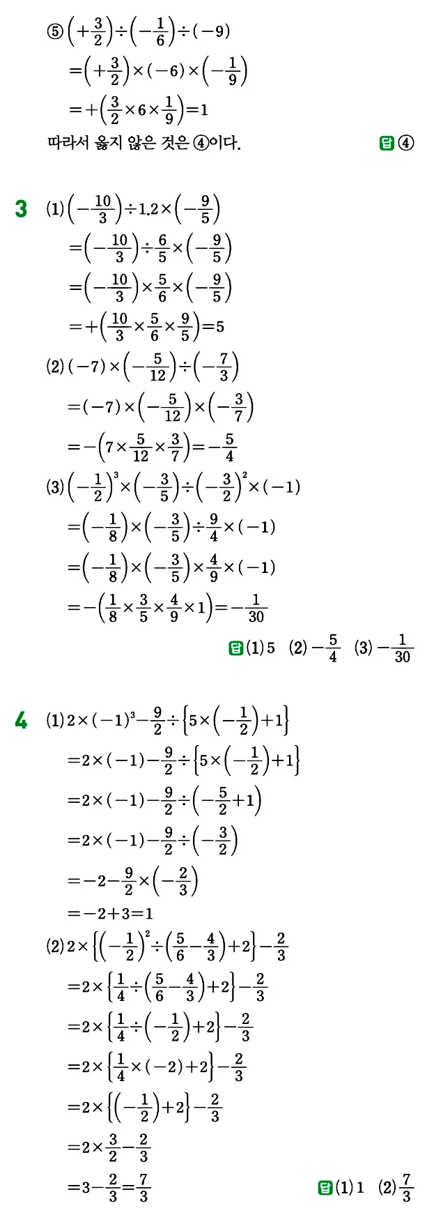
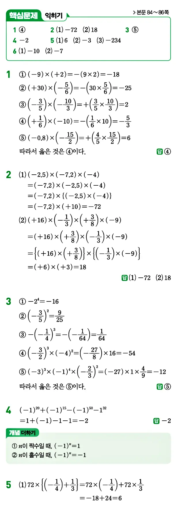
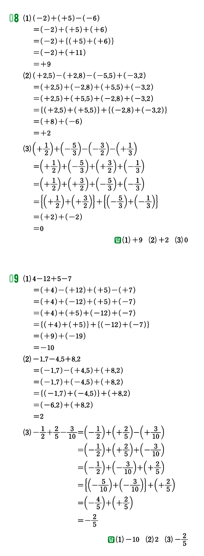
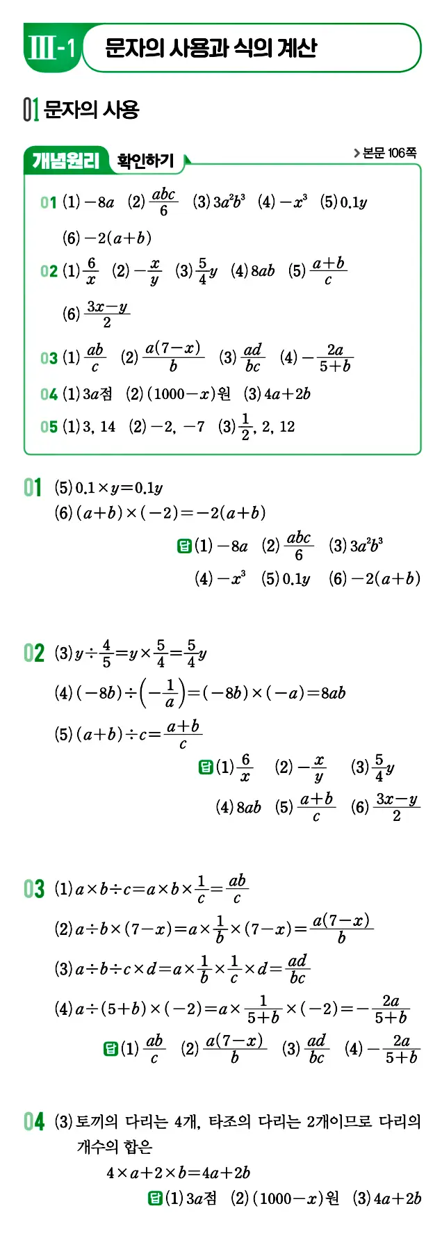
▼ 개념원리 중1-1 답지 42페이지
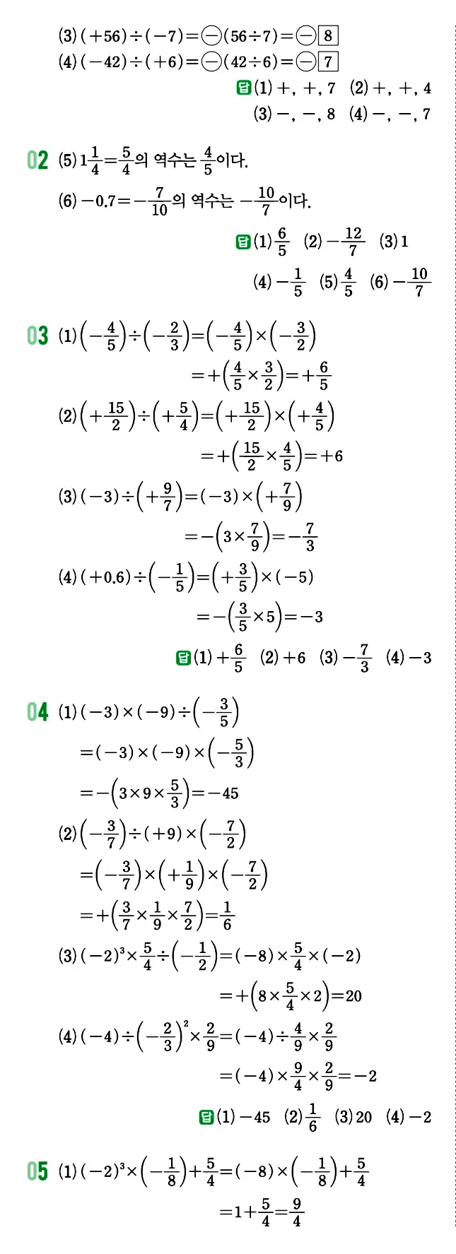
▼ 개념원리 중1-1 답지 43페이지
▼ 개념원리 중1-1 답지 44페이지
▼ 개념원리 중1-1 답지 45페이지
▼ 개념원리 중1-1 답지 46페이지
▼ 개념원리 중1-1 답지 47페이지
▼ 개념원리 중1-1 답지 48페이지
▼ 개념원리 중1-1 답지 49페이지
▼ 개념원리 중1-1 답지 50페이지
▼ 개념원리 중1-1 답지 51페이지
▼ 개념원리 중1-1 답지 52페이지
▼ 개념원리 중1-1 답지 53페이지
▼ 개념원리 중1-1 답지 54페이지
▼ 개념원리 중1-1 답지 55페이지
▼ 개념원리 중1-1 답지 56페이지
▼ 개념원리 중1-1 답지 57페이지
▼ 개념원리 중1-1 답지 58페이지
▼ 개념원리 중1-1 답지 59페이지
▼ 개념원리 중1-1 답지 60페이지
▼ 개념원리 중1-1 답지 61페이지
▼ 개념원리 중1-1 답지 62페이지
▼ 개념원리 중1-1 답지 63페이지
▼ 개념원리 중1-1 답지 64페이지
▼ 개념원리 중1-1 답지 65페이지
▼ 개념원리 중1-1 답지 66페이지
▼ 개념원리 중1-1 답지 67페이지
▼ 개념원리 중1-1 답지 68페이지
▼ 개념원리 중1-1 답지 69페이지
▼ 개념원리 중1-1 답지 70페이지
▼ 개념원리 중1-1 답지 71페이지
▼ 개념원리 중1-1 답지 72페이지
▼ 개념원리 중1-1 답지 73페이지
▼ 개념원리 중1-1 답지 74페이지
▼ 개념원리 중1-1 답지 75페이지
▼ 개념원리 중1-1 답지 76페이지
▼ 개념원리 중1-1 답지 77페이지
▼ 개념원리 중1-1 답지 78페이지
▼ 개념원리 중1-1 답지 79페이지
▼ 개념원리 중1-1 답지 80페이지
👇 다음 답지 페이지로 이동하기 👇
- 본 블로그에 게시된 모든 자료(답지 및 해설)의 저작권은 해당 교재의 출판사에 있습니다.
- 자료는 오직 학생들의 채점, 오답 정리, 자기주도 학습용으로만 활용해 주시기 바랍니다.
- 제공된 파일을 상업적으로 이용하거나, 타 사이트에 무단 배포하여 발생하는 모든 법적 책임은 이용자 본인에게 있습니다.
- 저작권 관련 문제가 있거나 삭제를 원하시는 출판사 관계자분께서는 [leinbow@gmail.com]로 연락 주시면 즉시 조치하겠습니다.