쎈 미적분2 02. 급수 답지
안녕하세요. **쎈 미적분2** **02단원 급수** 정답 및 해설입니다.
**급수($\sum_{n=1}^{\infty} a_n$)**는 수열의 항을 무한히 더하는 개념입니다. **수렴 조건**($\lim_{n \to \infty} a_n = 0$)과 **등비급수 공식 ($\mathbf{\frac{a}{1-r}}$)**을 이용한 도형 활용 문제가 수능 킬러 문항으로 자주 출제됩니다.
📌 학습 팁: 급수와 수열의 관계
급수가 수렴하면 **수열의 극한값은 반드시 0**($\lim_{n \to \infty} a_n = 0$)이지만, 그 역은 성립하지 않습니다. 이 논리적 관계를 명확히 이해해야 합니다.
📂 쎈 미적분2 답지 전체 모음 & 등비급수 도형 특강 (클릭)
급수가 수렴하면 **수열의 극한값은 반드시 0**($\lim_{n \to \infty} a_n = 0$)이지만, 그 역은 성립하지 않습니다. 이 논리적 관계를 명확히 이해해야 합니다.
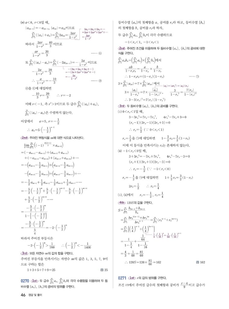
📖 급수 정답 및 해설
이미지를 클릭하면 확대됩니다.

🎁 등비급수 도형 문제, 3단계로 끝내기!
1단계: 초항($a$) 구하기, 2단계: 공비($r$) 구하기, 3단계: $\frac{a}{1-r}$ 적용. 이 루틴을 훈련하는 영상이 아래 탑글에 있습니다.
👉 등비급수 도형 킬러 문항 풀이 보러가기

























⚠️ 저작권 안내 및 이용 주의사항
- 본 블로그에 게시된 모든 자료(답지 및 해설)의 저작권은 해당 교재의 출판사에 있습니다.
- 자료는 오직 학생들의 채점, 오답 정리, 자기주도 학습용으로만 활용해 주시기 바랍니다.
- 제공된 파일을 상업적으로 이용하거나, 타 사이트에 무단 배포하여 발생하는 모든 법적 책임은 이용자 본인에게 있습니다.
- 저작권 관련 문제가 있거나 삭제를 원하시는 출판사 관계자분께서는 [leinbow@gmail.com]로 연락 주시면 즉시 조치하겠습니다.