쎈수학대수 0069번 √a√a√a√a 바깥부터 분수지수 분리 | a^(1/2+1/4+1/8+1/16) 합산으로 k=15/16 유제 해설

쎈수학 대수 유형0069 | 중첩된 거듭제곱근의 계산 | 유제 풀이

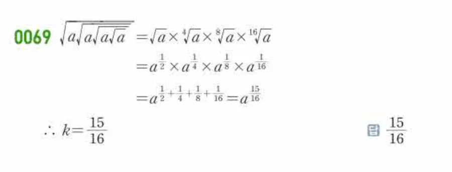
쎈수학 대수 유형0069 유제 풀이

쎈수학 대수 · B스텝 · 01. 거듭제곱근 · 유형 08 중첩된 거듭제곱근의 계산 · 난이도 ★★★☆☆

이 문제는 연속 중첩 거듭제곱근을 바깥부터 순서대로 분수 지수로 분리하고 전체 지수를 합산하는 문제입니다.

  • ✔ 3등급 학생이 √a√a√a√a를 (a^(1/2))^4=a²로 잘못 계산하는 유형
  • ✔ 바깥부터 a^(1/2)·a^(1/4)·a^(1/8)·a^(1/16)으로 분리하지 않아 지수 합산 실패
  • ✔ 바깥 항부터 a^(1/2), a^(1/4), a^(1/8), a^(1/16)으로 순서대로 분리 → 분모 통분 → 합산 15/16의 3단계가 핵심
쎈수학 대수 유형0069 해설

잠깐만요! 이 문제의 중요한 부분을 확인하세요

  • 중첩근호를 한 번에 펼치면 지수 누락이 반드시 생깁니다 — 바깥부터 하나씩 분리하세요
  • √a√a√a√a는 a^(1/2)×a^(1/4)×a^(1/8)×a^(1/16)으로 각각 분리합니다
  • 지수를 분모 통분해 합산하면 1/2+1/4+1/8+1/16=8/16+4/16+2/16+1/16=15/16입니다
  • 4개 항 중 하나라도 지수를 잘못 읽으면 합산 결과가 달라지므로 순서대로 확인하세요
  • 📌 내신 관점: 각 항 지수 분리 근거와 통분·합산 과정을 서술해야 감점 없음
  • 📌 수능 관점: 한 번에 전개를 유도한 뒤 순차 분리로만 정확히 풀리도록 설계한 전형적 함정형
정답 15/16
▶ 유형 0069 — 중첩된 거듭제곱근의 계산 풀이 영상
📖
240 답지나라개념사전 | 지수의 확장 – 정수에서 유리수로
분수 지수 정의와 유리수 지수로의 확장 원리 핵심 정리
개념 보러가기 →
📖
241 답지나라개념사전 | 지수법칙 – 지수가 유리수일 때
유리수 지수 계산법칙과 분수 지수 혼합 계산 핵심 정리
개념 보러가기 →
✏️
대수워크시트5 지수가 유리수인 경우
분수 지수 변환·계산 반복 훈련 — 지수법칙 적용 순서 완벽 체화
워크시트 보러가기 →
✏️
대수워크시트6 지수가 실수인 때의 지수법칙
실수 지수 혼합 계산 집중 훈련 — 공통인수 묶기 실전 체화
워크시트 보러가기 →
쎈수학 대수 · 좋은책신사고
B스텝 유형 0069 · 01. 거듭제곱근 · 유형 08 중첩된 거듭제곱근의 계산

댓글 남기기