쎈수학대수 0070번 ³√a³√a 분수지수 전체 합=0 조건으로 k 결정 | 중첩근호 포함 방정식 유제 완전 해설

쎈수학 대수 유형0070 | 중첩된 거듭제곱근의 계산 | 유제 풀이

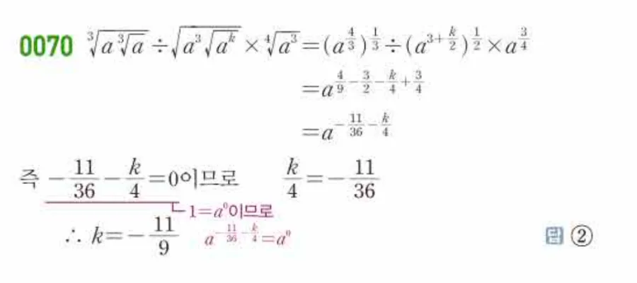
쎈수학 대수 유형0070 유제 풀이

쎈수학 대수 · B스텝 · 01. 거듭제곱근 · 유형 08 중첩된 거듭제곱근의 계산 · 난이도 ★★★☆☆

이 문제는 중첩 거듭제곱근을 분수 지수로 단계별 변환하고 전체 지수 합=0 조건으로 k를 구하는 문제입니다.

  • ✔ 3등급 학생이 나눗셈 항의 부호를 놓쳐 지수 합산에서 오류가 나는 유형
  • ✔ ³√a·³√a를 a^(1/3)·a^(1/6)으로 분리하지 않아 중첩 지수 처리 실패
  • ✔ 각 항 분수 지수 변환 → 나눗셈은 부호 반전 → 전체 합=0 → k 산출의 4단계가 핵심
쎈수학 대수 유형0070 해설

잠깐만요! 이 문제의 중요한 부분을 확인하세요

  • 분수지수 부호 하나 틀리면 k 방정식 자체가 무너집니다
  • ³√a·³√a를 a^(1/3)·a^(1/3·1/2)=a^(1/3)·a^(1/6)으로 분리해 지수를 합산하세요
  • ÷ 이하 각 항도 동일하게 분수 지수로 변환하되, 나눗셈은 지수 부호를 반전시키세요
  • 전체 지수 합=0 조건에 대입하면 k방정식이 세워져 k를 산출할 수 있습니다
  • 📌 내신 관점: 각 항의 변환과 부호 처리 과정을 서술해야 감점 없음
  • 📌 수능 관점: 나눗셈 부호 반전을 놓치도록 복잡한 중첩 구조로 설계한 전형적 함정형
정답
▶ 유형 0070 — 중첩된 거듭제곱근의 계산 풀이 영상
📖
240 답지나라개념사전 | 지수의 확장 – 정수에서 유리수로
분수 지수 정의와 유리수 지수로의 확장 원리 핵심 정리
개념 보러가기 →
📖
241 답지나라개념사전 | 지수법칙 – 지수가 유리수일 때
유리수 지수 계산법칙과 분수 지수 혼합 계산 핵심 정리
개념 보러가기 →
✏️
대수워크시트5 지수가 유리수인 경우
분수 지수 변환·계산 반복 훈련 — 지수법칙 적용 순서 완벽 체화
워크시트 보러가기 →
✏️
대수워크시트6 지수가 실수인 때의 지수법칙
실수 지수 혼합 계산 집중 훈련 — 공통인수 묶기 실전 체화
워크시트 보러가기 →
쎈수학 대수 · 좋은책신사고
B스텝 유형 0070 · 01. 거듭제곱근 · 유형 08 중첩된 거듭제곱근의 계산

댓글 남기기