쎈수학대수 0068번 중첩 근호 단계별 분수지수 변환 대표문제 | √√√√a=a^(1/16)·⁴√⁴√√a=a^(1/64) 지수 합산

쎈수학 대수 유형0068 | 중첩된 거듭제곱근의 계산 | 대표 문제 풀이

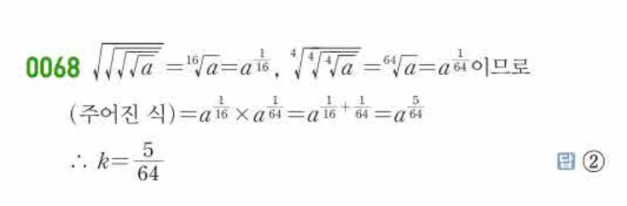
쎈수학 대수 유형0068 대표 문제 풀이

쎈수학 대수 · B스텝 · 01. 거듭제곱근 · 유형 08 중첩된 거듭제곱근의 계산 · 난이도 ★★★☆☆

이 문제는 중첩 거듭제곱근을 안쪽부터 단계별로 분수 지수로 변환하고 지수를 합산해 k를 구하는 문제입니다.

  • ✔ 3등급 학생이 중첩근호를 한 번에 전개하려다 지수 누락이 생기는 유형
  • ✔ √√√√a=a^(1/16), ⁴√⁴√√a=a^(1/64) 각각의 단계별 변환을 빠뜨려 지수 합산 실패
  • ✔ 각 항을 안→밖 순서로 분수 지수 변환 → 분모 통분 → 전체 지수 합산 → k 도출의 3단계가 핵심
쎈수학 대수 유형0068 해설

잠깐만요! 이 문제의 중요한 부분을 확인하세요

  • 중첩근호 지수 변환은 반드시 안쪽부터 단계별로 처리해야 누락이 없습니다
  • √√√√a는 4번 제곱근이므로 a^(1/2^4)=a^(1/16)으로 변환하세요
  • ⁴√⁴√√a는 ⁴√⁴√(a^(1/2))=⁴√(a^(1/8))=a^(1/32)… 아니라 단계별로 정확히 a^(1/64)임을 확인하세요
  • 분모 통분 실수 한 번이면 k가 완전히 달라집니다 — 각 항 지수를 통분 후 합산하세요
  • 📌 내신 관점: 각 항 변환 과정과 분모 통분·합산 과정을 단계별로 서술해야 감점 없음
  • 📌 수능 관점: 중첩 깊이를 달리해 한 번에 전개를 유도한 뒤 단계별 변환으로만 풀리도록 설계한 함정형
정답
▶ 유형 0068 — 중첩된 거듭제곱근의 계산 풀이 영상
📖
240 답지나라개념사전 | 지수의 확장 – 정수에서 유리수로
분수 지수 정의와 유리수 지수로의 확장 원리 핵심 정리
개념 보러가기 →
📖
241 답지나라개념사전 | 지수법칙 – 지수가 유리수일 때
유리수 지수 계산법칙과 분수 지수 혼합 계산 핵심 정리
개념 보러가기 →
✏️
대수워크시트5 지수가 유리수인 경우
분수 지수 변환·계산 반복 훈련 — 지수법칙 적용 순서 완벽 체화
워크시트 보러가기 →
✏️
대수워크시트6 지수가 실수인 때의 지수법칙
실수 지수 혼합 계산 집중 훈련 — 공통인수 묶기 실전 체화
워크시트 보러가기 →
쎈수학 대수 · 좋은책신사고
B스텝 유형 0068 · 01. 거듭제곱근 · 유형 08 중첩된 거듭제곱근의 계산

댓글 남기기