쎈 공통수학1 · 4단원 이차방정식
448번 · 무리수 근이 주어진 이차방정식 — \(k\) 구하기
— \(x = 1-\sqrt{2}\) 대입 후 유리수·무리수 분리
난이도 : 중
📋 이 포스팅에서 확인할 수 있어요
- 📹 단계별 풀이 영상
- 🖼️ 교재 해설 이미지
- 🔍 \((1-\sqrt{2})^2\) 전개 완전 정복
- 💡 유리수 · 무리수 분리로 \(k\) 결정하는 핵심 원리
- ⚠️ 전개 부호 실수 방지 요령
- ⏱️ 내신 / 수능 목표 풀이 시간
📹 풀이 영상
📌 문제 핵심 파악
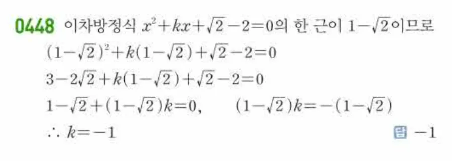
이차방정식 \(x^2 + kx + \sqrt{2} – 2 = 0\)의 한 근이 \(1 – \sqrt{2}\)일 때, 상수 \(k\)의 값을 구하는 문제입니다.
💡 단서는 여기에 있어요!
\(x = 1 – \sqrt{2}\)를 방정식에 대입하면 \(k\)에 관한 방정식이 만들어집니다.
대입 후 정리하면 (유리수 부분) + (무리수 부분) = 0 꼴이 되는데,
이것이 성립하려면 유리수 부분 = 0, 무리수 부분 = 0 이어야 하므로 \(k\)를 구할 수 있어요.
핵심은 \((1-\sqrt{2})^2 = 3 – 2\sqrt{2}\)를 정확히 전개하는 것!
\(x = 1 – \sqrt{2}\)를 방정식에 대입하면 \(k\)에 관한 방정식이 만들어집니다.
대입 후 정리하면 (유리수 부분) + (무리수 부분) = 0 꼴이 되는데,
이것이 성립하려면 유리수 부분 = 0, 무리수 부분 = 0 이어야 하므로 \(k\)를 구할 수 있어요.
핵심은 \((1-\sqrt{2})^2 = 3 – 2\sqrt{2}\)를 정확히 전개하는 것!
✏️ 단계별 풀이
1
\((1-\sqrt{2})^2\) 전개
\[(1-\sqrt{2})^2 = 1 – 2\sqrt{2} + 2 = 3 – 2\sqrt{2}\]
\[(1-\sqrt{2})^2 = 1 – 2\sqrt{2} + 2 = 3 – 2\sqrt{2}\]
2
\(x = 1-\sqrt{2}\) 대입
\[(3-2\sqrt{2}) + k(1-\sqrt{2}) + \sqrt{2} – 2 = 0\] \[1 – \sqrt{2} + k(1-\sqrt{2}) = 0\] \[(1-\sqrt{2})(1+k) = 0\]
\[(3-2\sqrt{2}) + k(1-\sqrt{2}) + \sqrt{2} – 2 = 0\] \[1 – \sqrt{2} + k(1-\sqrt{2}) = 0\] \[(1-\sqrt{2})(1+k) = 0\]
3
\(k\) 결정
\(1-\sqrt{2} \neq 0\)이므로 \(1+k = 0\)
\[\therefore\; k = -1\]
\(1-\sqrt{2} \neq 0\)이므로 \(1+k = 0\)
\[\therefore\; k = -1\]
정답 : \(k = -1\)
🧠 외워두면 좋은 패턴
완전제곱 전개 필수 공식
\((a-b)^2 = a^2 – 2ab + b^2\)
\((1-\sqrt{2})^2 = 1 – 2\sqrt{2} + 2 = 3 – 2\sqrt{2}\) ← 반드시 암기!
대입 후 인수 분리 트릭
대입 결과를 \((1-\sqrt{2}) \times (\cdots) = 0\) 꼴로 묶으면
\(1-\sqrt{2} \neq 0\)이므로 나머지 인수 = 0 → k 결정!
\((a-b)^2 = a^2 – 2ab + b^2\)
\((1-\sqrt{2})^2 = 1 – 2\sqrt{2} + 2 = 3 – 2\sqrt{2}\) ← 반드시 암기!
대입 후 인수 분리 트릭
대입 결과를 \((1-\sqrt{2}) \times (\cdots) = 0\) 꼴로 묶으면
\(1-\sqrt{2} \neq 0\)이므로 나머지 인수 = 0 → k 결정!
⚠️ 이런 실수 조심!
- \((1-\sqrt{2})^2 = 1-2 = -1\)로 잘못 계산 — 중간항 \(-2\sqrt{2}\)를 절대 빠뜨리지 마세요.
- 상수항 \(\sqrt{2}-2\)를 대입 후 정리할 때 부호 실수 — \((3-2\sqrt{2})+(\sqrt{2}-2) = 1-\sqrt{2}\) 꼼꼼히 확인.
- \(k\)를 구한 뒤 검산하지 않는 경우 — \(k=-1\)을 다시 방정식에 넣어 \(x=1-\sqrt{2}\)가 근인지 확인하는 습관!
⏱️ 목표 풀이 시간
내신 시험
2분
수능·모의고사
1분 30초
⚡ \((1\pm\sqrt{k})^2\) 형태의 전개 결과를 바로 쓸 수 있도록 반복 연습하면 30초 이상 단축됩니다.
🖼️ 교재 해설 이미지