마플시너지 공통수학1 답지 & 해설 (241번 ~ 270번) – 고화질 보기

마플 시너지 공통수학1 빠른 정답

마플시너지 241번부터 270번 구간에 오신 것을 환영합니다. 등산으로 치면 숨이 턱 끝까지 차오르는 '깔딱 고개'와 같은 구간입니다. 많은 학생들이 이 지점에서 책을 덮고 싶어 하지만, 바로 지금 한 문제를 더 푸는 사람이 상위 1%가 됩니다.

"한계라고 느끼는 순간이,
진짜 성장이 시작되는 순간입니다."

채점을 위해 [마플시너지 공통수학1 241~270번 답지]를 찾으셨군요. 정답은 본문 하단에서 바로 확인하실 수 있습니다. 답지를 확인하기 전, 수학적 직관력을 2배로 키우는 '역발상 공부법'을 1분만 확인해보세요.

🎯 "문제를 풀지 말고, 문제를 만들어보세요"

241번부터는 문제 패턴이 조금씩 보이기 시작할 겁니다. 이때 단순히 푸는 것을 넘어, "내가 출제자라면 이 문제의 조건을 어떻게 비틀까?"라고 생각해보세요. 숫자나 조건을 살짝 바꿔보는 것만으로도 문제 해결력이 비약적으로 상승합니다.

변형 문제가 떠오르지 않는다면 AI에게 도움을 요청하세요. "이 문제와 숫지만 다른 쌍둥이 문제를 만들어줘"라고 하면, 무한대의 연습 문제를 얻을 수 있습니다.

🛑 내신 대비 AI 문제 생성 프롬프트

"이 문제의 난이도를 '상'으로 높여서 변형해줘."
"이 유형과 유사한 수능 기출 문제를 추천해줘."
AI를 활용해 나만의 맞춤형 문제집을 만드세요.

👉 AI로 변형 문제 무한 생성하기 (클릭)

⚽ 수학, 스포츠를 분석하다

공부하다 머리 식힐 겸 스포츠 경기를 보시나요? 야구의 타율 통계, 축구 공의 궤적(포물선), 농구의 슛 성공률 등 스포츠는 살아있는 수학 교과서입니다.

체육이나 스포츠 관련 진로가 아니더라도, "스포츠 경기 데이터 분석"을 주제로 세특을 작성하면 '실생활 적용 능력'을 높게 평가받을 수 있습니다. 수학이 책상 위에만 있는 학문이 아님을 증명해보세요.

⚡ 흥미로운 실생활 탐구 주제

내가 좋아하는 취미(게임, 스포츠, 영화) 속에 숨겨진
수학적 원리를 찾아내면 훌륭한 보고서가 됩니다.
누구나 쉽게 쓸 수 있는 주제들을 모았습니다.

[추천] 취미와 연결하는 수학 탐구 주제 ➔


📢 고지가 멀지 않았습니다

이제 아래에서 241번부터 270번까지의 정답을 확인하세요. 이 구간을 무사히 넘기면 300번대가 눈앞입니다. 틀린 문제는 오답 노트에 기록하고, 왜 틀렸는지 한 줄로 코멘트를 남기는 습관을 잊지 마세요.

혹시 수행평가 마감이 겹쳐 수학 공부할 시간이 부족하신가요? 시간을 아껴주는 검증된 보고서 작성 템플릿을 활용해 '효율'을 챙기세요.

⏳ 수행평가 3시간 컷! 만능 템플릿

서론-본론-결론, 뼈대 잡느라 시간 쓰지 마세요. 빈칸만 채우세요.

[공식] 탐구 보고서 구조 다운로드 ➔

👇 마플시너지 공통수학1 241~270번 정답 확인 👇

⚡️ 데이터 절약 모드 ON
현재 0241번~0270번 구간입니다.
채점이 끝나면 하단의 [다음 구간]을 눌러주세요.

📝 이 구간 공부 포인트: 이차방정식의 해법

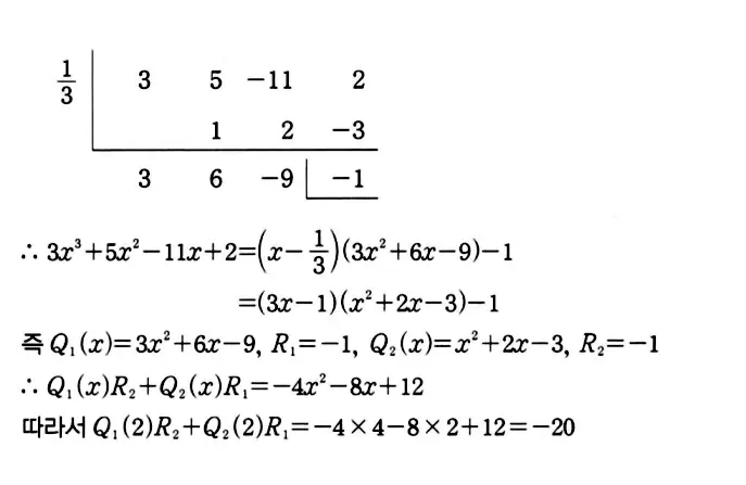
마플시너지 공통수학1 0241번부터 0270번 구간은 이차방정식(Quadratic Equations)의 풀이와 성질을 다룹니다. 인수분해나 근의 공식을 이용한 기본적인 풀이부터, 절댓값 기호가 포함된 방정식, 가우스 기호가 있는 방정식 등 특수한 형태의 해법을 익혀야 합니다.

특히 근과 계수의 관계와 곱셈공식의 변형을 연계하여 식의 값을 구하는 문제는 출제 빈도가 매우 높으니, 해설의 계산 과정을 꼼꼼히 확인하여 계산 실수를 줄이는 연습을 하시기 바랍니다.

#이차방정식 #근의공식 #절댓값방정식 #근과계수의관계 #가우스기호 #고1수학 #마플시너지답지
마플시너지 공통수학1 답지 240번대 마플시너지 공통수학1 답지 해설 마플시너지 공통수학1 답지 해설 마플시너지 공통수학1 답지 해설 마플시너지 공통수학1 답지 해설 마플시너지 공통수학1 답지 해설 마플시너지 공통수학1 답지 해설 마플시너지 공통수학1 답지 250번대 마플시너지 공통수학1 답지 해설 마플시너지 공통수학1 답지 해설 마플시너지 공통수학1 답지 해설 마플시너지 공통수학1 답지 해설 마플시너지 공통수학1 답지 해설 마플시너지 공통수학1 답지 해설 마플시너지 공통수학1 답지 해설 마플시너지 공통수학1 답지 해설 마플시너지 공통수학1 답지 해설 마플시너지 공통수학1 답지 260번대 마플시너지 공통수학1 답지 해설 마플시너지 공통수학1 답지 해설 마플시너지 공통수학1 답지 해설 마플시너지 공통수학1 답지 해설 마플시너지 공통수학1 답지 해설 마플시너지 공통수학1 답지 해설 마플시너지 공통수학1 답지 해설 마플시너지 공통수학1 답지 해설 마플시너지 공통수학1 답지 해설 마플시너지 공통수학1 답지 270번 인근 마플시너지 공통수학1 답지 해설 마플시너지 공통수학1 답지 해설 마플시너지 공통수학1 답지 해설 마플시너지 공통수학1 답지 해설 마플시너지 공통수학1 답지 해설 마플시너지 공통수학1 답지 해설

댓글 남기기