마플시너지 공통수학1 답지 & 해설 (31번 ~ 60번) – 고화질 보기

마플 시너지 공통수학1 빠른 정답

마플시너지 31번부터 60번 구간에 진입했습니다. 보통 문제집을 사면 앞장 10페이지만 풀고 멈추는 경우가 많죠? 하지만 여러분은 그 '마의 구간'을 넘어서고 있습니다. 이제부터는 의욕이 아니라 '습관'으로 문제를 풀어야 할 때입니다.

"매일 30문제씩 꾸준히 푸는 사람은
몰아서 100문제 푸는 사람을 반드시 이깁니다."

채점을 위해 [마플시너지 공통수학1 31~60번 답지]를 찾으셨군요. 정답은 본문 하단에서 바로 확인하실 수 있습니다. 답지를 확인하기 전, 수학 개념을 장기 기억으로 저장하는 '메타인지 공부법'을 1분만 확인해보세요.

🌱 "유형을 외우지 말고, 원리를 파고드세요"

31번부터는 조금씩 응용된 문제들이 등장합니다. 이때 "이런 문제는 이렇게 푼다"고 유형을 통째로 외워버리면, 나중에 숫자가 바뀌거나 조건이 추가되면 손도 못 대게 됩니다. '왜?'라는 질문을 던져야 합니다.

해설지를 봐도 이해가 안 간다면 AI에게 질문해보세요. 딱딱한 수학 용어가 아니라, 친구가 설명해주듯 쉬운 비유를 들어 설명해줍니다.

🛑 개념 이해를 돕는 AI 프롬프트

"이 공식이 성립하는 이유를 직관적으로 설명해줘."
"이 문제를 풀 때 가장 중요한 핵심 개념 하나만 꼽아줘."
AI를 활용해 무조건 암기가 아닌 '완벽한 이해'를 하세요.

👉 챗GPT로 수학 개념 씹어먹는 법 (클릭)

🧪 수학은 과학의 언어입니다

지금 배우는 다항식과 방정식, 지루하게 느껴지시나요? 하지만 이것들은 물리학의 운동 법칙이나 화학 반응 속도를 계산하는 기초 도구입니다. 이과 지망생이라면 수학 문제를 풀며 과학적 원리와 연결하는 연습을 해보세요.

예를 들어, "다항식의 연산이 물리 실험 데이터 처리에 어떻게 쓰이는지" 궁금해하는 것만으로도 훌륭한 융합형 세특 주제가 됩니다.

⚡ 이과생 필독! 과학+수학 융합 꿀팁

실험 결과가 예상과 다르게 나왔나요?
그 '오차'를 수학적으로 분석하는 보고서를 쓰면
오히려 전화위복이 되어 좋은 평가를 받습니다.

[추천] 실험 오차 분석 & 세특 작성법 ➔


📢 꾸준함이 비범함을 만듭니다

이제 아래에서 31번부터 60번까지의 정답을 확인하세요. 초반 60문제를 성실하게 풀었다면, 여러분은 이미 상위권으로 가는 열차에 탑승한 것입니다. 틀린 문제는 반드시 체크해두고, 주말에 다시 한번 풀어보세요.

혹시 수행평가나 탐구 보고서 작성이 막막하신가요? 고민할 시간을 아껴주는 검증된 보고서 작성 템플릿을 활용해 '효율'을 챙기세요.

⏳ 수행평가 3시간 컷! 만능 템플릿

서론-본론-결론, 뼈대 잡느라 시간 쓰지 마세요. 빈칸만 채우세요.

[공식] 탐구 보고서 구조 다운로드 ➔

👇 마플시너지 공통수학1 31~60번 정답 확인 👇

⚡️ 데이터 절약 모드 ON
현재 31번~60번 구간입니다.
채점이 끝나면 하단의 [다음 구간]을 눌러주세요.
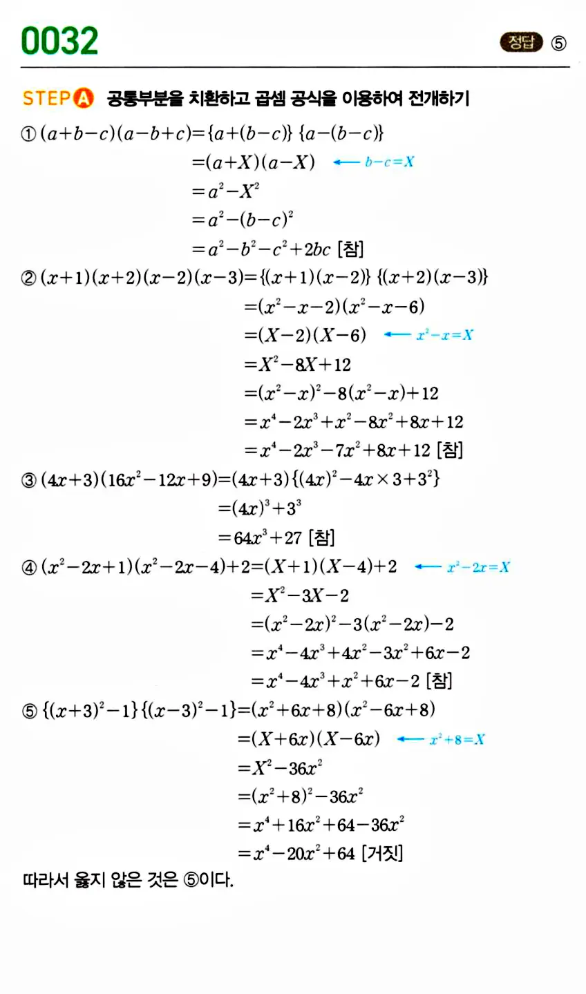
마플시너지 공통수학1 답지 31번~ 마플시너지 공통수학1 답지 해설 마플시너지 공통수학1 답지 해설 마플시너지 공통수학1 답지 해설 마플시너지 공통수학1 답지 해설 마플시너지 공통수학1 답지 해설 마플시너지 공통수학1 답지 해설 마플시너지 공통수학1 답지 해설 마플시너지 공통수학1 답지 40번대 마플시너지 공통수학1 답지 해설 마플시너지 공통수학1 답지 해설 마플시너지 공통수학1 답지 해설 마플시너지 공통수학1 답지 해설 마플시너지 공통수학1 답지 해설 마플시너지 공통수학1 답지 해설 마플시너지 공통수학1 답지 해설 마플시너지 공통수학1 답지 해설 마플시너지 공통수학1 답지 해설 마플시너지 공통수학1 답지 50번대 마플시너지 공통수학1 답지 해설 마플시너지 공통수학1 답지 해설 마플시너지 공통수학1 답지 해설 마플시너지 공통수학1 답지 해설 마플시너지 공통수학1 답지 해설 마플시너지 공통수학1 답지 해설 마플시너지 공통수학1 답지 해설 마플시너지 공통수학1 답지 해설 마플시너지 공통수학1 답지 해설 마플시너지 공통수학1 답지 60번 마플시너지 공통수학1 답지 해설 마플시너지 공통수학1 답지 해설 마플시너지 공통수학1 답지 60번 후반

댓글 남기기