쎈수학 대수 0162번 로그의 정의 유제 | 3^x-3^(-x) 유리화 계산 핵심 전략으로 2√2 도출 [쎈공수1 풀이]

쎈수학 대수 유형0162 | 로그의 정의 | 유제 풀이

쎈수학 대수 유형0162 유제 풀이

쎈수학 대수 · B스텝 · 02. 로그 · 유형 01 · 로그의 정의 · 난이도 ★★★☆☆

이 문제는 로그로 주어진 x값을 지수 형태로 즉시 변환해 지수식으로 계산하는 전략을 이해했는지를 묻는 문제입니다.

  • ✔ 3등급 학생이 가장 많이 실수하는 유형
  • ✔ log 상태 유지한 채 연산 시도 → 식이 폭발적으로 복잡해져 오답 발생
  • ✔ 계산보다 로그→지수 변환 타이밍 판단이 중요
유형0162 로그의 정의 유제 해설

잠깐만요! 이 문제의 중요한 부분을 확인하세요

  • 3^x 값을 바로 쓰지 않고 로그만 붙잡고 있으면 식이 끝없이 복잡해집니다
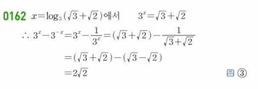
  • x=log_3(√3+√2)이면 즉시 3^x=√3+√2로 치환하는 것이 핵심 전략입니다
  • 3^(-x)=1/(√3+√2) 를 유리화하면 √3−√2가 되고, 3^x−3^(−x)=2√2로 깔끔하게 계산됩니다
  • 유리화 없이 분수 상태로 계산을 이어가면 거의 반드시 계산 실수가 발생합니다
  • 📌 내신 관점: 로그→지수 치환 후 유리화를 요구하는 계산형 빈출 문항
  • 📌 수능 관점: 치환 없이 log 상태로 계산을 유도하는 선지 배치로 함정 구성됨
정답
▶ 유형 0162 — 로그 치환·유리화 유제 풀이 영상
📖
고등수학 개념사전 246 — 로그 밑 변환
로그 밑 변환 공식과 활용법을 정리한 개념사전 포스트입니다
개념사전 246 보러가기 →
📖
고등수학 개념사전 247 — 로그의 성질 2
로그의 심화 성질과 활용을 정리한 개념사전 포스트입니다
개념사전 247 보러가기 →
✏️
로그 계산이 느리다면?
로그의 정의 반복 훈련으로 변환 속도를 높이는 연산 문제 모음입니다
로그의 정의 연산문제 모음 →
✏️
유리화 집중 연산 드릴
무리수 유리화 계산을 반복 훈련하는 연산 문제 모음입니다
유리화 드릴 문제 →
쎈수학 대수 · 좋은책신사고
B스텝 유형 0162 · 02. 로그 · 유형 01 · 로그의 정의

댓글 남기기