쎈수학대수 0098번 160^x=2·10^y=4·a^z=1/4 세 조건 변환 후 √a 계산 | 역수 지수 곱나누기 최고난도 유제

쎈수학 대수 유형0097 | a^x=k가 주어질 때 식의 값 구하기 | 대표문제 풀이

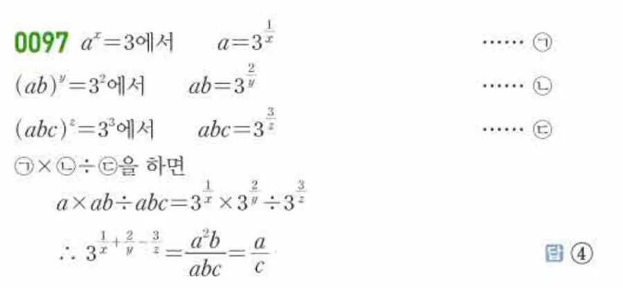
쎈수학 대수 유형0097 대표문제 풀이

쎈수학 대수 · B스텝 · 01. 지수 · 유형 14 · 집중공략 · 난이도 ★★★☆☆

이 문제는 a^x = k 꼴의 지수식 연립 개념을 정확히 이해했는지를 묻는 문제입니다.

✔ 3등급 학생이 가장 많이 실수하는 유형

✔ 세 지수식의 곱·나누기 순서에서 오답 발생

✔ 계산보다 지수 연립 구조 이해가 중요

유형0097 해설 이미지

잠깐만요! 이 문제의 중요한 부분을 확인하세요

  • a, ab, abc 각각의 지수 세 식을 나누는 순서 틀리면 최종 식이 완전히 달라집니다
  • a^x=3, (ab)^y=3², (abc)^z=3³을 곱·나누기로 연립해 3^(1+2/y−3/z)=a^p 꼴로 정리하세요
  • 세 식에서 b, c를 각각 분리하는 과정이 핵심 — 순서를 바꾸면 지수가 뒤집힙니다
  • 📌 내신 관점: 서술형에서 연립 과정 단계별 기술이 요구되는 고빈출 유형
  • 📌 수능 관점: 세 조건 연립을 한 번에 처리하는 속도가 당락을 가릅니다
정답
유형 14 a^x=k 식의 값 구하기 유형노트
📖
유리수 지수 정의가 흔들린다면?
a^(m/n) 꼴의 정의와 변환 원리를 빠르게 정리한 포스트입니다
240 유리수 지수 정의 보러가기 →
📖
실수 지수법칙 총정리
지수가 실수일 때까지 확장된 지수법칙 핵심 정리입니다
242 실수 지수법칙 보러가기 →
✏️
지수 유리수 계산이 느리다면?
유리수 지수 기본 계산 반복 훈련으로 속도를 잡는 연산 워크시트입니다
대수워크시트5 지수가 유리수인 경우 →
✏️
실수 지수법칙 연산 훈련
지수가 실수일 때의 법칙 적용 연습 워크시트입니다
대수워크시트6 지수가 실수인 때의 지수법칙 →
쎈수학 대수 · 좋은책신사고
B스텝 유형 0097 · 01. 지수 · 유형 14 · 집중공략

댓글 남기기