쎈수학대수 0049번 문자 포함 거듭제곱근 지수 통분 대표문제 | 분수지수 변환 후 지수 합산으로 x⁰=1 확인 풀이

쎈수학 대수 유형0049 | 문자를 포함한 거듭제곱근의 계산 | 대표 문제 풀이

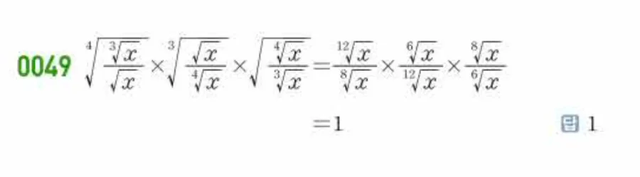
쎈수학 대수 유형0049 대표 문제 풀이

쎈수학 대수 · B스텝 · 01. 지수 · 유형 03 문자를 포함한 거듭제곱근의 계산 · 난이도 ★★☆☆☆

이 문제는 문자를 포함한 거듭제곱근을 분수 지수로 변환하고 지수의 합·차를 계산해 결과를 도출하는 문제입니다.

  • ✔ 3등급 학생이 각 항의 분수 지수를 통분하지 않아 계산이 막히는 유형
  • ✔ 근호 형태 그대로 사칙연산을 시도하다 x^0=1 관계를 놓침
  • ✔ 전체 항을 x^(p/q)로 변환 → 지수 합산 → x^0=1 확인의 3단계가 핵심
쎈수학 대수 유형0049 해설

잠깐만요! 이 문제의 중요한 부분을 확인하세요

  • 지수 통분 실수하면 분수 지수 항이 모두 따로 놉니다
  • 각 근호를 x^(p/q) 형태 분수 지수로 변환한 뒤 지수끼리 더하거나 빼세요
  • 지수의 합·차 결과가 0이 되면 x^0=1로 최종 답이 결정됩니다
  • 변환 없이 근호 형태로 계산하면 x의 지수가 상쇄되는 구조를 절대로 파악할 수 없습니다
  • 📌 내신 관점: 각 항의 변환 과정을 서술하지 않으면 풀이 과정 감점 발생
  • 📌 수능 관점: x^0=1 결론을 숨긴 채 복잡해 보이는 식으로 위장하는 전형적 함정형
정답 1
▶ 유형 0049 — 문자를 포함한 거듭제곱근의 계산 풀이 영상
📖
236 답지나라개념사전 | n제곱근 a의 정의와 표현 방법
거듭제곱근을 분수 지수로 변환하는 원리 핵심 정리
개념 보러가기 →
📖
237 답지나라개념사전 | 거듭제곱근의 성질과 계산 법칙
거듭제곱근 성질·지수 통일 계산 법칙 집중 정리
개념 보러가기 →
✏️
대수워크시트2 거듭제곱근
거듭제곱근 분수 지수 변환 반복 훈련 — 속도와 정확도 동시에
워크시트 보러가기 →
✏️
대수워크시트3 거듭제곱근의 성질
거듭제곱근 성질·변환 계산 집중 훈련 — 짝수·홀수 조건 완벽 체화
워크시트 보러가기 →
쎈수학 대수 · 좋은책신사고
B스텝 유형 0049 · 01. 지수 · 유형 03 문자를 포함한 거듭제곱근의 계산

댓글 남기기