쎈수학대수 0044번 거듭제곱근의 계산 참거짓 판별 대표문제 | ⁿ√aᵐ=a^(m/n) 변환으로 선택지 완전정복

쎈수학 대수 유형0044 | 거듭제곱근의 계산 | 대표 문제 풀이

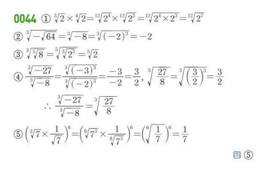
쎈수학 대수 유형0044 대표 문제 풀이

쎈수학 대수 · B스텝 · 01. 지수 · 유형 02 거듭제곱근의 계산 · 난이도 ★★☆☆☆

이 문제는 거듭제곱근의 성질을 분수 지수 변환으로 정확히 적용할 수 있는지를 묻는 문제입니다.

  • ✔ 3등급 학생이 참·거짓 판별에서 가장 많이 실수하는 유형
  • ✔ 변환 없이 근호 형태 그대로 비교하다 오판 발생
  • ✔ 선택지마다 분수 지수 변환 → 계산 → 판별 순서가 핵심
쎈수학 대수 유형0044 해설

잠깐만요! 이 문제의 중요한 부분을 확인하세요

  • 계산 규칙 하나만 틀려도 옳고 그름이 뒤바뀝니다
  • 각 선택지를 ⁿ√aᵐ = a^(m/n) 형태로 변환한 뒤 지수 계산으로 참·거짓을 판별하세요
  • 변환 없이 눈대중으로 판별하면 반드시 함정에 빠집니다
  • 분수 지수 변환 후 지수의 크기·부호를 꼼꼼히 비교해야 선택지 오류를 잡을 수 있습니다
  • 📌 내신 관점: 옳지 않은 것을 고르는 형태의 서술형에서 변환 과정을 반드시 명시
  • 📌 수능 관점: 참인 선택지처럼 보이도록 설계된 함정 보기가 포함되는 전형적 유형
정답
▶ 유형 0044 — 거듭제곱근의 계산 풀이 영상
📖
236 답지나라개념사전 | n제곱근 a의 정의와 표현 방법
거듭제곱근을 분수 지수로 변환하는 원리 핵심 정리
개념 보러가기 →
📖
237 답지나라개념사전 | 거듭제곱근의 성질과 계산 법칙
거듭제곱근 성질·지수 통일 계산 법칙 집중 정리
개념 보러가기 →
✏️
대수워크시트2 거듭제곱근
거듭제곱근 분수 지수 변환 반복 훈련 — 속도와 정확도 동시에
워크시트 보러가기 →
✏️
대수워크시트3 거듭제곱근의 성질
거듭제곱근 성질·변환 계산 집중 훈련 — 짝수·홀수 조건 완벽 체화
워크시트 보러가기 →
쎈수학 대수 · 좋은책신사고
B스텝 유형 0044 · 01. 지수 · 유형 02 거듭제곱근의 계산

댓글 남기기