쎈 공통수학1 · 4단원 이차방정식
445번 · 새로운 연산 ✱ 정의 — 이차방정식 세우기
— \(a \ast b = ab – a + b\)를 방정식으로 변환 후 근의 공식
난이도 : 상
📋 이 포스팅에서 확인할 수 있어요
- 📹 풀이 영상 (연산 정의 활용 전략)
- 🖼️ 교재 해설 이미지
- 🔍 ‘새로운 연산’ 문제 공략법 완전 분석
- 📐 \(x \ast x\)와 \(2 \ast x\)를 각각 계산해 방정식 세우기
- ⚠️ 항 빠뜨리기 실수 방지 체크리스트
- ⏱️ 내신 / 수능 목표 풀이 시간
📹 풀이 영상
📌 문제 핵심 파악
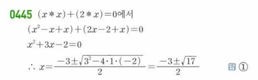
두 실수 \(a\), \(b\)에 대하여 \(a \ast b = ab – a + b\) 라 정의할 때,
\((x \ast x) + (2 \ast x) = 0\)을 만족시키는 \(x\)의 값을 구하는 문제입니다.
\((x \ast x) + (2 \ast x) = 0\)을 만족시키는 \(x\)의 값을 구하는 문제입니다.
💡 단서는 여기에 있어요!
새로운 연산 \(\ast\)가 등장하면 당황하지 말고 정의식에 그대로 대입하세요.
→ \(x \ast x\): \(a=x,\ b=x\) 대입
→ \(2 \ast x\): \(a=2,\ b=x\) 대입
두 결과를 각각 계산한 뒤 더하면 이차방정식이 완성됩니다!
새로운 연산 \(\ast\)가 등장하면 당황하지 말고 정의식에 그대로 대입하세요.
→ \(x \ast x\): \(a=x,\ b=x\) 대입
→ \(2 \ast x\): \(a=2,\ b=x\) 대입
두 결과를 각각 계산한 뒤 더하면 이차방정식이 완성됩니다!
✏️ 단계별 풀이
1
\(x \ast x\) 계산
\(a=x,\ b=x\)를 정의에 대입: \[x \ast x = x \cdot x – x + x = x^2\] 중간항 \(-x+x\)가 상쇄되어 깔끔하게 \(x^2\)만 남습니다.
\(a=x,\ b=x\)를 정의에 대입: \[x \ast x = x \cdot x – x + x = x^2\] 중간항 \(-x+x\)가 상쇄되어 깔끔하게 \(x^2\)만 남습니다.
2
\(2 \ast x\) 계산
\(a=2,\ b=x\)를 정의에 대입: \[2 \ast x = 2 \cdot x – 2 + x = 3x – 2\]
\(a=2,\ b=x\)를 정의에 대입: \[2 \ast x = 2 \cdot x – 2 + x = 3x – 2\]
3
이차방정식 완성
\[(x \ast x) + (2 \ast x) = 0\] \[x^2 + (3x-2) = 0\] \[x^2 + 3x – 2 = 0\]
\[(x \ast x) + (2 \ast x) = 0\] \[x^2 + (3x-2) = 0\] \[x^2 + 3x – 2 = 0\]
4
근의 공식 적용
\[x = \frac{-3 \pm \sqrt{9+8}}{2} = \frac{-3 \pm \sqrt{17}}{2}\]
\[x = \frac{-3 \pm \sqrt{9+8}}{2} = \frac{-3 \pm \sqrt{17}}{2}\]
정답 : ① \(x = \dfrac{-3 \pm \sqrt{17}}{2}\)
🧠 외워두면 좋은 패턴
새로운 연산 문제 3단계 공략
특히 \(x \ast x\)처럼 두 자리에 같은 값이 들어갈 때 중간항이 사라지는 경우가 많으니 주의!
- 연산 기호의 정의식을 박스로 표시해 놓기
- 각 \(\ast\) 연산에 구체적인 값을 천천히 대입
- 합쳐서 이차방정식 → 풀기
특히 \(x \ast x\)처럼 두 자리에 같은 값이 들어갈 때 중간항이 사라지는 경우가 많으니 주의!
⚠️ 이런 실수 조심!
- \(a \ast b\)에서 \(a\)와 \(b\) 순서 바꾸는 실수 — \(x \ast 2\)와 \(2 \ast x\)는 다릅니다. 반드시 순서 확인!
- \(2 \ast x = 2x – 2 + x\)에서 \(x\) 합산을 \(2x\)로만 쓰는 실수 — \(2x + x = 3x\) 정확히 계산하기.
- 판별식 \(D = 9+8 = 17 > 0\)이므로 실근, 당황하지 마세요.
⏱️ 목표 풀이 시간
내신 시험
3분
수능·모의고사
2분
⚡ 처음 보는 연산 기호에 당황하지 않도록 평소 연습이 중요합니다. “기호가 이상해도 정의에 대입만 하면 된다”는 마인드셋이 시간을 아끼는 핵심입니다.
🖼️ 교재 해설 이미지