라이트센공통수학1답지[2]251-450

라이트쎈 공통수학1 01단원 다항식의 연산 답지 (덧셈, 뺄셈, 곱셈 공식)

라이트쎈 공통수학1 01. 다항식의 연산 답지

안녕하세요. **라이트쎈 공통수학1** **01단원 다항식의 연산** 정답 및 해설입니다.

이 단원은 고등 수학 연산의 기초입니다. 덧셈과 뺄셈은 **동류항**을 기준으로, 곱셈은 **분배법칙**을 기준으로 계산하며, **괄호 앞 마이너스 부호** 처리에 실수가 없도록 주의해야 합니다.

📌 학습 팁: 곱셈 공식 변형
$a^2+b^2 = (a+b)^2 – 2ab$처럼, 합($a+b$)과 곱($ab$)을 이용하는 변형 공식은 뒤의 곱셈 공식 단원에서 필수적으로 사용됩니다. 원리를 이해해 두세요.
📂 라이트쎈 공통수학1 답지 전체 모음 & 계산 특강 (클릭)

📖 다항식의 연산 정답 및 해설

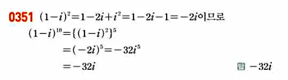
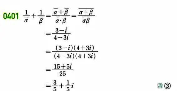
이미지를 클릭하면 확대됩니다.

라이트쎈 공통수학1 다항식 덧셈 뺄셈 문제 풀이
라이트쎈 수학 다항식 곱셈 나눗셈 해설
🎁 나눗셈, 검산식 잊지 마세요!

다항식의 나눗셈은 검산식 $\mathbf{A = BQ + R}$을 세우는 것이 기본입니다. 답지를 볼 때도, 해설의 검산식 형태를 꼼꼼히 확인하세요.

👉 다항식 연산 심화 강의 보러가기

▼ 라이트쎈 공통수학1 답지 42페이지

라이트쎈 공통수학1 답지 42


▼ 라이트쎈 공통수학1 답지 43페이지

라이트쎈 공통수학1 답지 43


▼ 라이트쎈 공통수학1 답지 44페이지

라이트쎈 공통수학1 답지 44


▼ 라이트쎈 공통수학1 답지 45페이지

라이트쎈 공통수학1 답지 45


▼ 라이트쎈 공통수학1 답지 46페이지

라이트쎈 공통수학1 답지 46


▼ 라이트쎈 공통수학1 답지 47페이지

라이트쎈 공통수학1 답지 47


▼ 라이트쎈 공통수학1 답지 48페이지

라이트쎈 공통수학1 답지 48


▼ 라이트쎈 공통수학1 답지 49페이지

라이트쎈 공통수학1 답지 49


▼ 라이트쎈 공통수학1 답지 50페이지

라이트쎈 공통수학1 답지 50


▼ 라이트쎈 공통수학1 답지 51페이지

라이트쎈 공통수학1 답지 51


▼ 라이트쎈 공통수학1 답지 52페이지

라이트쎈 공통수학1 답지 52


▼ 라이트쎈 공통수학1 답지 53페이지

라이트쎈 공통수학1 답지 53


▼ 라이트쎈 공통수학1 답지 54페이지

라이트쎈 공통수학1 답지 54


▼ 라이트쎈 공통수학1 답지 55페이지

라이트쎈 공통수학1 답지 55


▼ 라이트쎈 공통수학1 답지 56페이지

라이트쎈 공통수학1 답지 56


▼ 라이트쎈 공통수학1 답지 57페이지

라이트쎈 공통수학1 답지 57


▼ 라이트쎈 공통수학1 답지 58페이지

라이트쎈 공통수학1 답지 58


▼ 라이트쎈 공통수학1 답지 59페이지

라이트쎈 공통수학1 답지 59


▼ 라이트쎈 공통수학1 답지 60페이지

라이트쎈 공통수학1 답지 60


▼ 라이트쎈 공통수학1 답지 61페이지

라이트쎈 공통수학1 답지 61


▼ 라이트쎈 공통수학1 답지 62페이지

라이트쎈 공통수학1 답지 62


▼ 라이트쎈 공통수학1 답지 63페이지

라이트쎈 공통수학1 답지 63


▼ 라이트쎈 공통수학1 답지 64페이지

라이트쎈 공통수학1 답지 64


▼ 라이트쎈 공통수학1 답지 65페이지

라이트쎈 공통수학1 답지 65


▼ 라이트쎈 공통수학1 답지 66페이지

라이트쎈 공통수학1 답지 66


▼ 라이트쎈 공통수학1 답지 67페이지

라이트쎈 공통수학1 답지 67


▼ 라이트쎈 공통수학1 답지 68페이지

라이트쎈 공통수학1 답지 68


▼ 라이트쎈 공통수학1 답지 69페이지

라이트쎈 공통수학1 답지 69


▼ 라이트쎈 공통수학1 답지 70페이지

라이트쎈 공통수학1 답지 70


▼ 라이트쎈 공통수학1 답지 71페이지

라이트쎈 공통수학1 답지 71


▼ 라이트쎈 공통수학1 답지 72페이지

라이트쎈 공통수학1 답지 72


▼ 라이트쎈 공통수학1 답지 73페이지

라이트쎈 공통수학1 답지 73


▼ 라이트쎈 공통수학1 답지 74페이지

라이트쎈 공통수학1 답지 74


▼ 라이트쎈 공통수학1 답지 75페이지

라이트쎈 공통수학1 답지 75


▼ 라이트쎈 공통수학1 답지 76페이지

라이트쎈 공통수학1 답지 76


▼ 라이트쎈 공통수학1 답지 77페이지

라이트쎈 공통수학1 답지 77


▼ 라이트쎈 공통수학1 답지 78페이지

라이트쎈 공통수학1 답지 78


▼ 라이트쎈 공통수학1 답지 79페이지

라이트쎈 공통수학1 답지 79


댓글 남기기