
쎈 공통수학1 0057번 문제 풀이 가이드
주어진 조건인 a + b + c, ab + bc + ca, abc의 값을 이용하여 복잡한 괄호 곱의 식의 값을 구하는 문제입니다. 이 문제는 무작정 전개하려고 하면 식이 매우 복잡해져서 계산 실수를 유발하기 쉽습니다. 식의 구조를 변형하여 간단하게 만드는 센스가 필요한 문제입니다.
1. 문제 풀이 시 알아야 할 내용 정리
이 문제의 핵심은 ‘문자의 개수 줄이기’입니다. 3개의 문자가 섞여 있는 식을 2개로, 혹은 1개와 상수의 합으로 바꾸는 과정이 필요합니다.
- 조건식 활용: a + b + c = k (상수) 꼴이 주어졌을 때, a + b는 k – c로 바꿀 수 있습니다. 이처럼 두 문자의 합을 하나의 문자와 상수로 표현하면 식이 훨씬 간결해집니다.
- 전개식의 이해: (x – a)(x – b)(x – c) 형태의 전개 공식을 정확히 암기하고 있어야 합니다.
2. 핵심 공식
이 문제를 풀기 위해 가장 중요한 곱셈 공식입니다. 공식의 x 자리에 문제의 조건에 맞는 숫자를 대입하는 형태로 해결됩니다.
(x – a)(x – b)(x – c)
= x3 – (a + b + c)x2 + (ab + bc + ca)x – abc
= x3 – (a + b + c)x2 + (ab + bc + ca)x – abc
3. 힌트 (Think Process)
문제를 보고 바로 풀이가 떠오르지 않는다면 아래의 순서대로 생각해 보세요.
- Step 1: 구해야 하는 식 (a + b)(b + c)(c + a)를 봅니다. 문자가 두 개씩 묶여 있어 전개하기 부담스럽습니다.
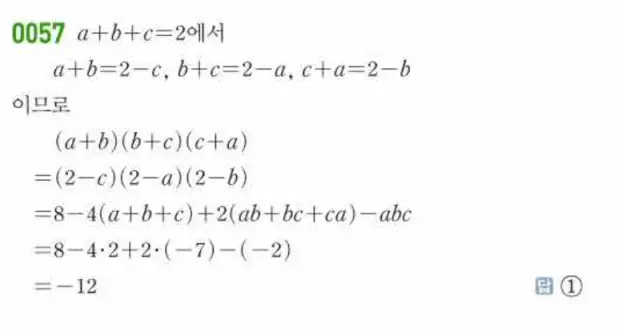
- Step 2: 문제의 조건 중 a + b + c = 2를 봅니다. 이를 이용해 괄호 안의 식을 변형할 수 없을까요?
(예: a + b = 2 – c) - Step 3: 괄호 안의 식을 모두 변형하면 (2 – c)(2 – a)(2 – b) 형태가 됩니다. 순서를 보기 좋게 바꾸면 (2 – a)(2 – b)(2 – c)가 됩니다.
- Step 4: 이제 위에서 정리한 핵심 공식의 x 자리에 숫자 2가 들어갔다고 생각하고 전개해 봅니다.
- Step 5: 전개된 식에 문제에서 주어진 값들을 대입하여 계산합니다.
대입식: 8 – 4(a+b+c) + 2(ab+bc+ca) – abc
4. 실수 줄이는 법
- 부호 실수 주의: 공식을 사용할 때 마지막 항인 –abc의 부호를 조심하세요. 특히 문제에서 abc의 값이 음수(-2)로 주어졌기 때문에, 대입할 때 -(-2)가 되어 +2(양수)가 됨을 유의해야 합니다.
- 대입 시 괄호 사용: 음수를 대입할 때는 반드시 괄호를 사용하여 계산 순서가 꼬이지 않도록 합니다.
- 공식 암기 점검: (x – a)(x – b)(x – c) 전개식에서 x2의 계수는 음수(-), x의 계수는 양수(+), 상수항은 음수(-)가 됨을 확실히 기억해두세요.
⚠️ 저작권 안내 및 이용 주의사항
- 본 블로그에 게시된 모든 자료(답지 및 해설)의 저작권은 해당 교재의 출판사에 있습니다.
- 자료는 오직 학생들의 채점, 오답 정리, 자기주도 학습용으로만 활용해 주시기 바랍니다.
- 제공된 파일을 상업적으로 이용하거나, 타 사이트에 무단 배포하여 발생하는 모든 법적 책임은 이용자 본인에게 있습니다.
- 저작권 관련 문제가 있거나 삭제를 원하시는 출판사 관계자분께서는 [leinbow@gmail.com]로 연락 주시면 즉시 조치하겠습니다.