
[쎈 대수] 0106번 완벽 해설: 식품손상지수, 대입과 약분으로 3분 컷! (영상 포함)
안녕하세요! 수학의 길잡이 1타 강사 쌤입니다. 쎈 대수 0106번 같은 문제는 식이 무시무시해 보여도 알고 보면 대입만 잘하면 되는 점수 주는 문제입니다.
저는 학생들을 가르칠 때 가장 강조하는 것이 ‘복잡한 식을 다루는 태도’입니다. 최적의 풀이를 통해 여러분의 시간을 아껴드릴게요. 이해가 안 가는 부분은 글 하단의 영상과 상세 이미지 해설을 꼭 참고해 주세요!
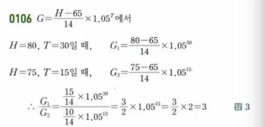
식품의 부패 정도를 수치화한 식품손상지수 \(G\)와 상대습도 \(H(\%)\), 기온 \(T(^\circ C)\) 사이에는 다음의 관계식이 성립한다고 한다.
\(G = \frac{H-65}{14} \times 1.05^T\)
상대습도가 \(80\%\), 기온이 \(30^\circ C\)일 때의 식품손상지수를 \(G_1\), 상대습도가 \(75\%\), 기온이 \(15^\circ C\)일 때의 식품손상지수를 \(G_2\)라 할 때, \(\frac{G_1}{G_2}\)의 값을 구하시오. (단, \(1.05^{15} = 2\)로 계산한다.)
💡 핵심 분석 & 필수 공식
- ✅ 비율 계산: \(\frac{G_1}{G_2}\)를 구할 때는 식 전체를 분수 형태로 나열한 후 약분을 먼저 시도합니다.
- ✅ 지수 법칙: \(\frac{a^{30}}{a^{15}} = a^{30-15} = a^{15}\) 성질을 활용합니다.
📸 이미지로 보는 단계별 상세 풀이
[단계별 풀이 가이드]
- 1단계: \(G_1\), \(G_2\) 식 대입.
- 2단계: \(\frac{G_1}{G_2} = \frac{\frac{80-65}{14} \times 1.05^{30}}{\frac{75-65}{14} \times 1.05^{15}}\)
- 3단계: 약분 및 정리. \(\frac{15}{10} \times 1.05^{15} = \frac{3}{2} \times 2 = 3\)
정답: 3
🚀 1등급 꿀팁 & 실수 포인트
[실수 포인트]: \(G_1\)과 \(G_2\)를 각각 소수로 구하려고 덤비지 마세요! 나눗셈(비율) 형태에서는 항상 약분되는 항이 생기기 마련입니다.
[쌤의 꿀팁]: \(1.05^{30}\)을 보았을 때 \((1.05^{15})^2\) 임을 바로 파악하는 눈을 기르세요. 수학은 관찰력 싸움입니다!
대입만으로 정답을 낚는 비법, 아래 해설 영상에서 더 자세히 알려드립니다!
https://www.youtube.com/watch?v=p_BkJun34HI&pp=ygUN7I6I64yA7IiYMDEwNg%3D%3D
- 본 블로그에 게시된 모든 자료(답지 및 해설)의 저작권은 해당 교재의 출판사에 있습니다.
- 자료는 오직 학생들의 채점, 오답 정리, 자기주도 학습용으로만 활용해 주시기 바랍니다.
- 제공된 파일을 상업적으로 이용하거나, 타 사이트에 무단 배포하여 발생하는 모든 법적 책임은 이용자 본인에게 있습니다.
- 저작권 관련 문제가 있거나 삭제를 원하시는 출판사 관계자분께서는 [leinbow@gmail.com]로 연락 주시면 즉시 조치하겠습니다.