
[쎈 대수] 0103번 완벽 해설: 복잡한 지수 관계식, ‘k로 놓기’ 한 방으로 끝내기! (꿀팁/영상)
안녕하세요! 여러분의 수학 성적을 수직 상승시켜 줄 명쾌한 1타 강사 쌤입니다. 지수 단원에서 여러 개의 밑이 섞여 있는 관계식이 나오면 당황하는 친구들이 참 많죠? 오늘 다룰 쎈 대수 0103번은 지수 법칙의 응용력을 테스트하는 아주 좋은 ‘상’ 난이도 문제입니다.
저는 현장에서 학생들을 가르치며 가장 실수를 줄이고 시간을 단축했던 ‘최적의 풀이법’만을 엄선해 올리고 있습니다. 만약 더 명쾌한 풀이가 발견되면 이 포스팅을 즉시 업데이트할 예정이니 신뢰하셔도 좋습니다! 글로 이해가 잘 안 된다면 포스팅 하단의 고퀄리티 해설 영상을 꼭 참고해 주세요.
실수 \(x, y, z\)에 대하여 \(2^x=3^{-y}, 9^y=6^z\)일 때, \(\frac{1}{x} – \frac{1}{y}\)을 \(z\)를 이용하여 나타내면? (단, \(xyz \neq 0\))
① \(-\frac{2}{z}\) ② \(\frac{1}{z}\) ③ \(\frac{2}{z}\) ④ \(-\frac{z}{2}\) ⑤ \({\frac{z}{2}}\)
💡 핵심 분석 & 필수 공식
이 문제의 핵심은 서로 다른 밑을 가진 지수들을 하나의 매개변수 \(k\)로 통일하는 것입니다.
- ✅ k로 놓기 비법: \(A^x = B^y = k\) ()
- ✅ 지수의 역수 변형: \(A^x = k \implies A = k^{\frac{1}{x}}\) ()
- ✅ 밑의 관계 파악: \(2 \times 3 = 6\)임을 이용하여 지수끼리의 합/차 관계 유도
📸 이미지로 보는 단계별 상세 풀이
(여기에 문제 해설 이미지를 삽입해 주세요)
[단계별 풀이 가이드]
-
1단계: k 설정 및 변형
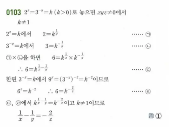
\(2^x = 3^{-y} = k\) (\(k > 0, k \neq 1\))로 놓으면 \(2 = k^{\frac{1}{x}}\), \(3 = k^{-\frac{1}{y}}\)입니다. () -
2단계: 밑의 곱셈 활용
\(2 \times 3 = 6\)이므로 \(k^{\frac{1}{x}} \times k^{-\frac{1}{y}} = k^{\frac{1}{x} – \frac{1}{y}} = 6\) ··· ㉠ () -
3단계: \(z\)와 \(k\)의 관계 유도
\(9^y = (3^{-y})^{-2} = k^{-2}\)이므로, \(6^z = 9^y = k^{-2}\)에서 \(6 = k^{-\frac{2}{z}}\) ··· ㉡ () -
4단계: 최종 결합
㉠과 ㉡에 의해 \(k^{\frac{1}{x} – \frac{1}{y}} = k^{-\frac{2}{z}}\)이므로
따라서 \(\frac{1}{x} – \frac{1}{y} = -\frac{2}{z}\)입니다. ()
정답: ① \(-\frac{2}{z}\)
🚀 1등급 꿀팁 & 실수 포인트
[실수 포인트]
\(3^{-y}\)에서 마이너스 부호를 놓치는 경우가 많아요! \(3\)을 구할 때 \(k^{-\frac{1}{y}}\)이 된다는 점을 확실히 체크하세요.
[쌤의 꿀팁]
밑이 2, 3이고 결과가 6인 것을 보고 “밑끼리 곱하면 지수끼리는 더해진다”는 연결 고리를 빠르게 찾는 것이 핵심입니다! 지수 형태의 분수 \(\frac{1}{x}, \frac{1}{y}\)가 보이면 일단 \(=k\)로 두는 습관을 들이세요.
오늘 문제는 지수 법칙의 기본 원리를 복합적으로 사용하는 아주 좋은 연습 문제였습니다. 한 번의 풀이로 끝내지 말고, 백지에 스스로 식을 세워보며 완벽히 자기 것으로 만드시길 바랍니다.
더 자세한 설명이나 실시간 풀이가 필요하다면? 아래 해설 영상을 시청해 보세요! 쌤의 노하우가 가득 담겨 있습니다.
- 본 블로그에 게시된 모든 자료(답지 및 해설)의 저작권은 해당 교재의 출판사에 있습니다.
- 자료는 오직 학생들의 채점, 오답 정리, 자기주도 학습용으로만 활용해 주시기 바랍니다.
- 제공된 파일을 상업적으로 이용하거나, 타 사이트에 무단 배포하여 발생하는 모든 법적 책임은 이용자 본인에게 있습니다.
- 저작권 관련 문제가 있거나 삭제를 원하시는 출판사 관계자분께서는 [leinbow@gmail.com]로 연락 주시면 즉시 조치하겠습니다.