수력충전 중1-1 답지[2]

수력충전 중1-1 답지 및 해설 (2편: 81~120p) – 2025 최신판

수력충전 중1-1 답지 (2편)

2022 개정 교육과정 | Page 81~120

수력충전 중1-1 해설 (2편)

‘수력충전 중등 수학 1-1’의 답지 2편입니다. 이번 포스팅에서는 81페이지부터 120페이지까지의 문제 풀이와 정답을 제공합니다.

💡 참고: 모바일 환경에서도 확대하여 보실 수 있도록 고화질 이미지로 준비했습니다.

아래 이미지를 클릭하면 더 크게 확인하실 수 있습니다.

정답 및 해설 (Page 81 ~ 120)

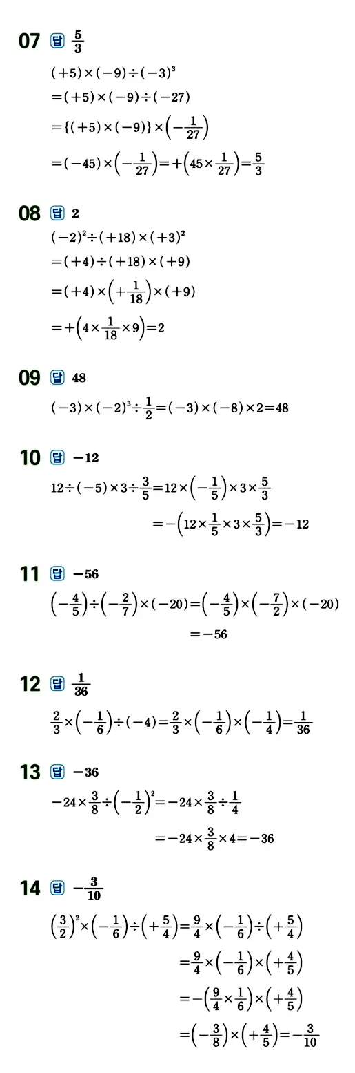
수력충전 중1-1 답지 81페이지
– 81 –
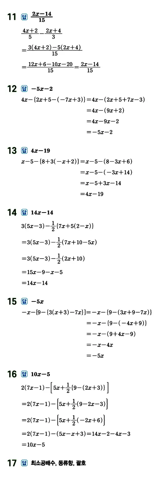
수력충전 중1-1 답지 82페이지
– 82 –
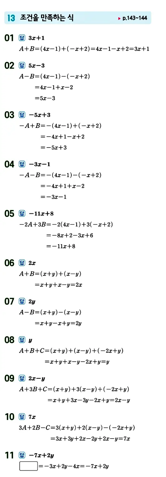
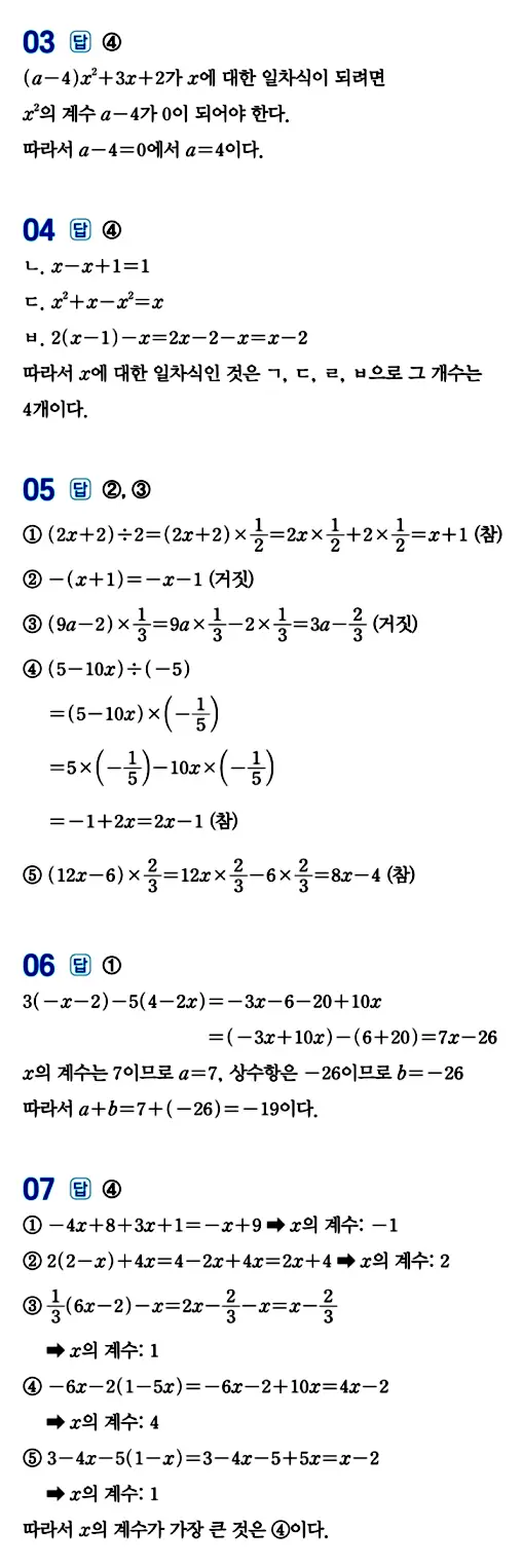
수력충전 중1-1 답지 83페이지
– 83 –
수력충전 중1-1 답지 84페이지
– 84 –
수력충전 중1-1 답지 85페이지
– 85 –
수력충전 중1-1 답지 86페이지
– 86 –
수력충전 중1-1 답지 87페이지
– 87 –
수력충전 중1-1 답지 88페이지
– 88 –
수력충전 중1-1 답지 89페이지
– 89 –
수력충전 중1-1 답지 90페이지
– 90 –
수력충전 중1-1 답지 91페이지
– 91 –
수력충전 중1-1 답지 92페이지
– 92 –
수력충전 중1-1 답지 93페이지
– 93 –
수력충전 중1-1 답지 94페이지
– 94 –
수력충전 중1-1 답지 95페이지
– 95 –
수력충전 중1-1 답지 96페이지
– 96 –
수력충전 중1-1 답지 97페이지
– 97 –
수력충전 중1-1 답지 98페이지
– 98 –
수력충전 중1-1 답지 99페이지
– 99 –
수력충전 중1-1 답지 100페이지
– 100 –
수력충전 중1-1 답지 101페이지
– 101 –
수력충전 중1-1 답지 102페이지
– 102 –
수력충전 중1-1 답지 103페이지
– 103 –
수력충전 중1-1 답지 104페이지
– 104 –
수력충전 중1-1 답지 105페이지
– 105 –
수력충전 중1-1 답지 106페이지
– 106 –
수력충전 중1-1 답지 107페이지
– 107 –
수력충전 중1-1 답지 108페이지
– 108 –
수력충전 중1-1 답지 109페이지
– 109 –
수력충전 중1-1 답지 110페이지
– 110 –
수력충전 중1-1 답지 111페이지
– 111 –
수력충전 중1-1 답지 112페이지
– 112 –
수력충전 중1-1 답지 113페이지
– 113 –
수력충전 중1-1 답지 114페이지
– 114 –
수력충전 중1-1 답지 115페이지
– 115 –
수력충전 중1-1 답지 116페이지
– 116 –
수력충전 중1-1 답지 117페이지
– 117 –
수력충전 중1-1 답지 118페이지
– 118 –
수력충전 중1-1 답지 119페이지
– 119 –
수력충전 중1-1 답지 120페이지
– 120 –

학습 효율을 높이는 조언

  • 오답 노트 활용: 단순히 정답을 확인하는 것에서 멈추지 말고, 왜 틀렸는지 분석하여 오답 노트에 기록하세요.
  • 반복 학습: 연산 실력을 키우기 위해서는 틀린 문제를 반복해서 풀어보는 것이 중요합니다.

© 2025 수력충전 중1-1 학습 자료실. All rights reserved.

본 자료는 학습 편의를 위해 제공되며, 저작권은 해당 출판사에 있습니다.

정답 및 해설 (Page 121 ~ 160)
수력충전 중1-1 답지 121페이지
– 121 –
수력충전 중1-1 답지 122페이지
– 122 –
수력충전 중1-1 답지 123페이지
– 123 –
수력충전 중1-1 답지 124페이지
– 124 –
수력충전 중1-1 답지 125페이지
– 125 –
수력충전 중1-1 답지 126페이지
– 126 –
수력충전 중1-1 답지 127페이지
– 127 –
수력충전 중1-1 답지 128페이지
– 128 –
수력충전 중1-1 답지 129페이지
– 129 –
수력충전 중1-1 답지 130페이지
– 130 –
수력충전 중1-1 답지 131페이지
– 131 –
수력충전 중1-1 답지 132페이지
– 132 –
수력충전 중1-1 답지 133페이지
– 133 –
수력충전 중1-1 답지 134페이지
– 134 –
수력충전 중1-1 답지 135페이지
– 135 –
수력충전 중1-1 답지 136페이지
– 136 –
수력충전 중1-1 답지 137페이지
– 137 –
수력충전 중1-1 답지 138페이지
– 138 –
수력충전 중1-1 답지 139페이지
– 139 –
수력충전 중1-1 답지 140페이지
– 140 –
수력충전 중1-1 답지 141페이지
– 141 –
수력충전 중1-1 답지 142페이지
– 142 –
수력충전 중1-1 답지 143페이지
– 143 –
수력충전 중1-1 답지 144페이지
– 144 –
수력충전 중1-1 답지 145페이지
– 145 –
수력충전 중1-1 답지 146페이지
– 146 –
수력충전 중1-1 답지 147페이지
– 147 –
수력충전 중1-1 답지 148페이지
– 148 –
수력충전 중1-1 답지 149페이지
– 149 –
수력충전 중1-1 답지 150페이지
– 150 –
수력충전 중1-1 답지 151페이지
– 151 –
수력충전 중1-1 답지 152페이지
– 152 –
수력충전 중1-1 답지 153페이지
– 153 –
수력충전 중1-1 답지 154페이지
– 154 –
수력충전 중1-1 답지 155페이지
– 155 –
수력충전 중1-1 답지 156페이지
– 156 –
수력충전 중1-1 답지 157페이지
– 157 –
수력충전 중1-1 답지 158페이지
– 158 –
수력충전 중1-1 답지 159페이지
– 159 –
수력충전 중1-1 답지 160페이지
– 160 –

댓글 남기기