개념플러스유형라이트 중2-1답지 개념편 유형편 해설지 빠른답지

개념플러스유형 중등 수학 2-1 답지 정답 및 해설 (2025 개정판)

📚 개념플러스유형 중등 수학 2-1 답지 해설

2025 개정 교육과정 반영 | 정확한 정답 확인 및 오답 체크

안녕하세요! 내답지블로그입니다. 오늘은 중등 수학의 스테디셀러인 비상교육 개념플러스유형 중2-1의 답지와 학습 정보를 정리해 드립니다. 2025 개정 교육과정에 맞춰 학습 중인 학생들의 정답 확인을 돕기 위해 작성되었습니다.

📖 개념플러스유형 중2-1 구성 및 특징

중학교 2학년 1학기 수학은 고등 수학의 기초가 되는 문자와 식, 함수 단원이 집중되어 있어 매우 중요한 시기입니다. 개념플러스유형은 개념 이해와 유형 연습을 동시에 할 수 있도록 설계된 교재로, 다음과 같은 체계적인 구성을 통해 실력을 키워줍니다.

  • 개념편: 쉽고 자세한 개념 설명과 핵심 문제를 통해 기초를 다집니다.
  • 유형편: 기초부터 심화까지 다양한 유형의 문제를 반복 연습하여 실전 감각을 높입니다.
  • 단원별 마무리: 각 단원 학습 후 실력 점검 문제로 완벽하게 마무리합니다.

개념편에서 탄탄하게 기초를 다진 후, 유형편에서 다양한 문제를 풀어보면서 실력을 향상시키는 2단계 학습법이 이 교재의 핵심입니다. 특히 유형편은 학교 시험에 자주 출제되는 문제 유형을 집중적으로 다루고 있어 내신 대비에 효과적입니다.

📝 중등 수학 2-1 주요 단원 리스트

학습 중인 단원의 정답을 확인하기 전, 전체적인 학습 흐름을 파악하는 것이 중요합니다. 중2-1 과정의 주요 단원은 다음과 같습니다.

  • 1. 수와 식의 계산: 유리수와 순환소수, 단항식과 다항식의 계산
  • 2. 부등식: 일차부등식의 풀이와 활용
  • 3. 연립방정식: 연립일차방정식의 풀이와 활용
  • 4. 함수: 일차함수와 그 그래프, 일차함수와 일차방정식의 관계

각 단원은 이전 단원의 내용을 기반으로 하므로, 앞 단원의 개념이 확실하지 않으면 뒤 단원을 이해하기 어렵습니다. 특히 식의 계산은 모든 단원의 기초가 되므로 완벽하게 이해하고 넘어가야 합니다.

✅ 효율적인 답지 활용 방법

“수학 실력은 정답을 맞히는 과정이 아니라, 틀린 이유를 분석하는 과정에서 성장합니다.”

답지를 단순히 베끼는 것은 실력 향상에 큰 독이 됩니다. 올바른 답지 활용법을 익혀 효율적으로 학습하세요.

  1. 스스로 먼저 풀기: 문제를 보자마자 답지를 보는 것이 아니라, 최소한 10분 이상 고민하며 스스로 풀어보세요.
  2. 오답 분석: 틀린 문제는 해설을 보기 전 다시 한 번 풀어보고, 어디서 실수했는지 정확히 파악하세요.
  3. 풀이 과정 비교: 정답을 맞혔더라도 해설지의 풀이 방식이 더 간결하거나 효율적인지 확인하세요.
  4. 개념 재정립: 해설을 봐도 이해가 가지 않는다면, 개념편의 이론 설명 부분을 다시 정독해야 합니다.
  5. 오답 노트 작성: 틀린 문제는 오답 노트에 정리하여 시험 전 복습 자료로 활용하세요.

특히 개념편은 이론 설명이 상세하므로, 문제를 틀렸을 때 해당 개념으로 돌아가 다시 공부하는 것이 중요합니다. 유형편은 비슷한 문제를 반복적으로 풀면서 문제 해결 능력을 키우는 것이 목표이므로, 틀린 문제는 며칠 후 다시 풀어보세요.

💡 단원별 학습 팁

유리수와 순환소수: 순환소수를 분수로 바꾸는 과정은 고등학교 수열 단원의 기초가 됩니다. 계산 과정을 정확히 이해하고, 손으로 직접 여러 번 풀어보며 익히세요.

식의 계산: 지수법칙과 곱셈공식은 완벽하게 암기해야 합니다. 특히 곱셈공식은 앞으로 배울 인수분해의 기초가 되므로, 보자마자 바로 적용할 수 있을 정도로 연습하세요.

일차부등식: 양변에 음수를 곱하거나 나눌 때 부등호의 방향이 바뀐다는 점을 항상 기억하세요. 이것만 주의하면 방정식과 푸는 방법이 거의 같습니다.

일차함수: 그래프의 기울기와 y절편의 의미를 정확히 이해하는 것이 중요합니다. 그래프를 그리는 연습을 많이 하고, 식을 보고 그래프의 모양을 머릿속으로 그려볼 수 있어야 합니다.

⚠️ 저작권 안내

현재 저작권 보호를 위해 답지 파일의 직접 다운로드는 제공하지 않습니다.
상세한 정답 확인 및 풀이가 필요하신 분들은 비상교육 공식 홈페이지의 [학습자료실]을 이용하시거나,
교재와 함께 제공되는 해설지를 적극 활용해 주세요.

💬 필요한 답지가 있다면 댓글로 요청해주세요!

본 포스팅은 수험생의 학습 보조를 위해 작성되었습니다.
모든 권리는 출판사 ‘비상교육’에 있으며, 무단 배포를 금지합니다.
© 내답지블로그 – 수험생 여러분의 수학 만점을 응원합니다!
중2모든답지(댓글로답지요청받아용~)
카테고리 문제집명 링크
기초 개념 & 연산 수력충전 중2-1 바로가기
풍산자 반복수학 중2-1 바로가기
교과서 개념잡기 중2-1 바로가기
개념플러스연산 중2-1 바로가기
베이직쎈 중2-1 바로가기
유형 완성 & 내신 대비 쎈 중2-1 바로가기
쎈B 중2-1 바로가기
개념쎈 중2-1 바로가기
라이트쎈 중2-1 바로가기
체크체크 중2-1 바로가기
유형만렙 중2-1 바로가기
우공비Q+Q 중2-1 (표준) 바로가기
개념원리 중2-1 바로가기
RPM 중2-1 바로가기
심화 & 최상위 블랙라벨 중2-1 바로가기
고쟁이 중2-1 바로가기
일품 중2-1 바로가기
최상위수학 중2-1 준비중
에이급수학 중2-1 준비중
중고등 영문법 문마중 Level 1 바로가기
문마중 Level 2 바로가기
문마중 Level 3 바로가기
문마고 (고등영문법) 바로가기
과학 오투 과학 2-1 바로가기
완자 중등과학 중2 바로가기
엔픽 통합과학 중2 바로가기
역사 22개정 한끝 중등역사 2-1 바로가기

개념편 유형편 통합 빠른답지
개념편 유형편 해설지는 내리면 있습니다
개념편답지 다 나오고 유형편 답지 나옵니다

개념편빠른답지

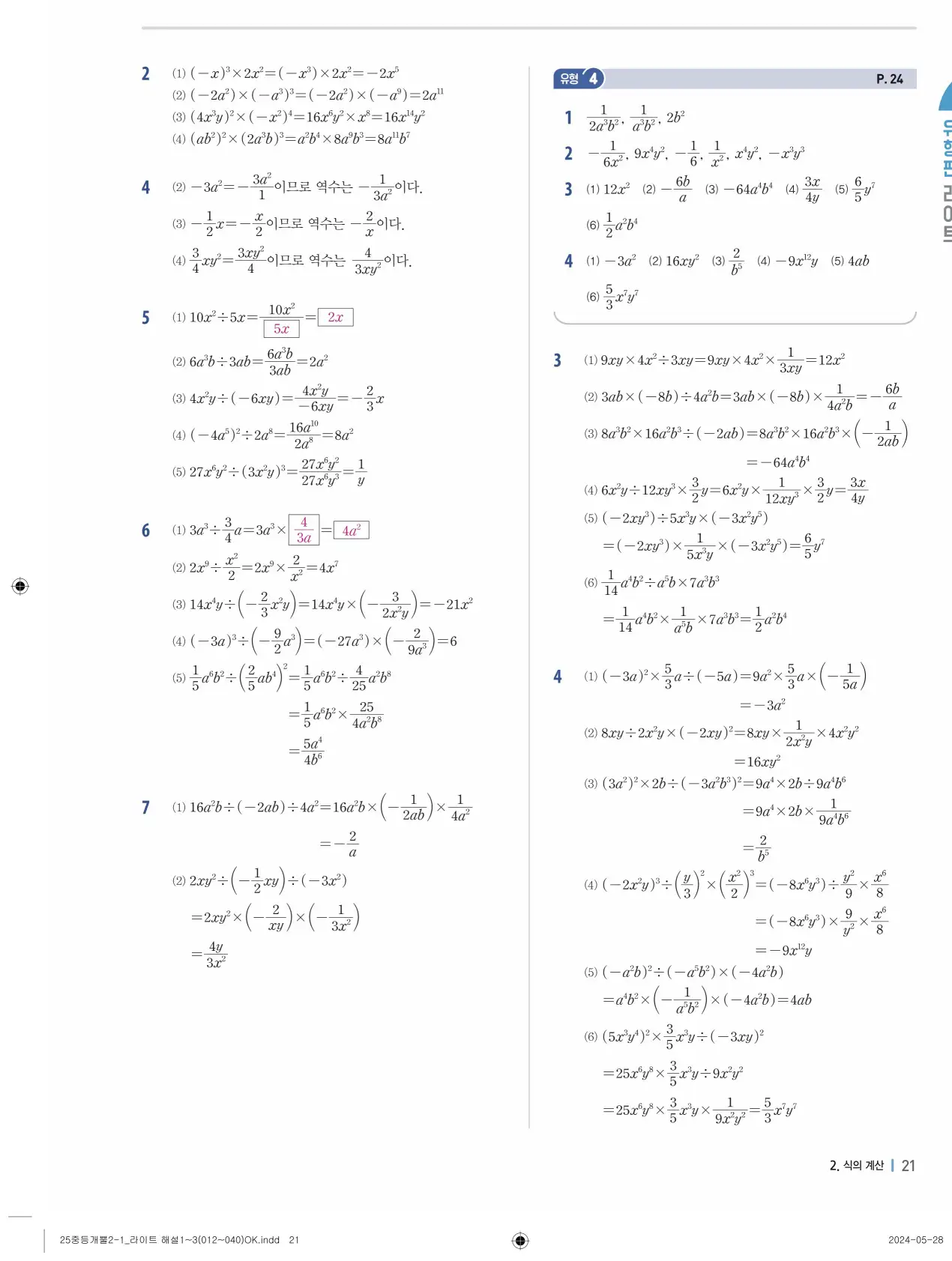
개념플러스유형 개념편 라이트 2-1 답지 1 개념플러스유형 개념편 라이트 2-1 답지 2 개념플러스유형 개념편 라이트 2-1 답지 3 개념플러스유형 개념편 라이트 2-1 답지 4 개념플러스유형 개념편 라이트 2-1 답지 5 개념플러스유형 개념편 라이트 2-1 답지 6 개념플러스유형 개념편 라이트 2-1 답지 7 개념플러스유형 개념편 라이트 2-1 답지 8 개념플러스유형 개념편 라이트 2-1 답지 9 개념플러스유형 개념편 라이트 2-1 답지 10 개념플러스유형 개념편 라이트 2-1 답지 11 개념플러스유형 개념편 라이트 2-1 답지 12 개념플러스유형 개념편 라이트 2-1 답지 13 개념플러스유형 개념편 라이트 2-1 답지 14 개념플러스유형 개념편 라이트 2-1 답지 15 개념플러스유형 개념편 라이트 2-1 답지 16 개념플러스유형 개념편 라이트 2-1 답지 17 개념플러스유형 개념편 라이트 2-1 답지 18 개념플러스유형 개념편 라이트 2-1 답지 19 개념플러스유형 개념편 라이트 2-1 답지 20 개념플러스유형 개념편 라이트 2-1 답지 21 개념플러스유형 개념편 라이트 2-1 답지 22 개념플러스유형 개념편 라이트 2-1 답지 23 개념플러스유형 개념편 라이트 2-1 답지 24 개념플러스유형 개념편 라이트 2-1 답지 25 개념플러스유형 개념편 라이트 2-1 답지 26 개념플러스유형 개념편 라이트 2-1 답지 27 개념플러스유형 개념편 라이트 2-1 답지 28 개념플러스유형 개념편 라이트 2-1 답지 29 개념플러스유형 개념편 라이트 2-1 답지 30 개념플러스유형 개념편 라이트 2-1 답지 31 개념플러스유형 개념편 라이트 2-1 답지 32 개념플러스유형 개념편 라이트 2-1 답지 33 개념플러스유형 개념편 라이트 2-1 답지 34 개념플러스유형 개념편 라이트 2-1 답지 35 개념플러스유형 개념편 라이트 2-1 답지 36 개념플러스유형 개념편 라이트 2-1 답지 37 개념플러스유형 개념편 라이트 2-1 답지 38 개념플러스유형 개념편 라이트 2-1 답지 39 개념플러스유형 개념편 라이트 2-1 답지 40 개념플러스유형 개념편 라이트 2-1 답지 41 개념플러스유형 개념편 라이트 2-1 답지 42 개념플러스유형 개념편 라이트 2-1 답지 43 개념플러스유형 개념편 라이트 2-1 답지 44 개념플러스유형 개념편 라이트 2-1 답지 45 개념플러스유형 개념편 라이트 2-1 답지 46 개념플러스유형 개념편 라이트 2-1 답지 47 개념플러스유형 개념편 라이트 2-1 답지 48 개념플러스유형 개념편 라이트 2-1 답지 49 개념플러스유형 개념편 라이트 2-1 답지 50 개념플러스유형 개념편 라이트 2-1 답지 51 개념플러스유형 개념편 라이트 2-1 답지 52 개념플러스유형 개념편 라이트 2-1 답지 53 개념플러스유형 개념편 라이트 2-1 답지 54 개념플러스유형 개념편 라이트 2-1 답지 55 개념플러스유형 개념편 라이트 2-1 답지 56 개념플러스유형 개념편 라이트 2-1 답지 57 개념플러스유형 개념편 라이트 2-1 답지 58 개념플러스유형 개념편 라이트 2-1 답지 59 개념플러스유형 개념편 라이트 2-1 답지 60
중2모든답지(댓글로답지요청받아용~)
카테고리 문제집명 링크
기초 개념 & 연산 수력충전 중2-1 바로가기
풍산자 반복수학 중2-1 바로가기
교과서 개념잡기 중2-1 바로가기
개념플러스연산 중2-1 바로가기
베이직쎈 중2-1 바로가기
유형 완성 & 내신 대비 쎈 중2-1 바로가기
쎈B 중2-1 바로가기
개념쎈 중2-1 바로가기
라이트쎈 중2-1 바로가기
체크체크 중2-1 바로가기
유형만렙 중2-1 바로가기
우공비Q+Q 중2-1 (표준) 바로가기
개념원리 중2-1 바로가기
RPM 중2-1 바로가기
심화 & 최상위 블랙라벨 중2-1 바로가기
고쟁이 중2-1 바로가기
일품 중2-1 바로가기
최상위수학 중2-1 준비중
에이급수학 중2-1 준비중
중고등 영문법 문마중 Level 1 바로가기
문마중 Level 2 바로가기
문마중 Level 3 바로가기
문마고 (고등영문법) 바로가기
과학 오투 과학 2-1 바로가기
완자 중등과학 중2 바로가기
엔픽 통합과학 중2 바로가기
역사 22개정 한끝 중등역사 2-1 바로가기

📚 개념플러스유형 2-1 답지 다운로드

원하시는 파일 형식을 선택해 주세요.
클릭 시 다운로드 전용 페이지로 이동하며 전면 광고가 노출될 수 있습니다.

파일은 구글 드라이브를 통해 안전하게 제공됩니다.
무단 배포 방지를 위해 보안 페이지를 거쳐 이동합니다.

개념플러스유형 개념편 라이트 2-1 답지 61 개념플러스유형 개념편 라이트 2-1 답지 62 개념플러스유형 개념편 라이트 2-1 답지 63 개념플러스유형 개념편 라이트 2-1 답지 64 개념플러스유형 개념편 라이트 2-1 답지 65 개념플러스유형 개념편 라이트 2-1 답지 66 개념플러스유형 개념편 라이트 2-1 답지 67 개념플러스유형 개념편 라이트 2-1 답지 68 개념플러스유형 개념편 라이트 2-1 답지 69 개념플러스유형 개념편 라이트 2-1 답지 70 개념플러스유형 개념편 라이트 2-1 답지 71 개념플러스유형 개념편 라이트 2-1 답지 72 개념플러스유형 개념편 라이트 2-1 답지 73 개념플러스유형 개념편 라이트 2-1 답지 74 개념플러스유형 개념편 라이트 2-1 답지 75 개념플러스유형 개념편 라이트 2-1 답지 76 개념플러스유형 개념편 라이트 2-1 답지 77 개념플러스유형 개념편 라이트 2-1 답지 78 개념플러스유형 개념편 라이트 2-1 답지 79 개념플러스유형 개념편 라이트 2-1 답지 80 개념플러스유형 개념편 라이트 2-1 답지 81 개념플러스유형 개념편 라이트 2-1 답지 82 개념플러스유형 개념편 라이트 2-1 답지 83 개념플러스유형 개념편 라이트 2-1 답지 84 개념플러스유형 개념편 라이트 2-1 답지 85 개념플러스유형 개념편 라이트 2-1 답지 86 개념플러스유형 개념편 라이트 2-1 답지 87 개념플러스유형 개념편 라이트 2-1 답지 88 개념플러스유형 개념편 라이트 2-1 답지 89 개념플러스유형 개념편 라이트 2-1 답지 90 개념플러스유형 개념편 라이트 2-1 답지 91 개념플러스유형 개념편 라이트 2-1 답지 92 개념플러스유형 개념편 라이트 2-1 답지 93 개념플러스유형 개념편 라이트 2-1 답지 94 개념플러스유형 개념편 라이트 2-1 답지 95 개념플러스유형 개념편 라이트 2-1 답지 96 개념플러스유형 개념편 라이트 2-1 답지 97 개념플러스유형 개념편 라이트 2-1 답지 98 개념플러스유형 개념편 라이트 2-1 답지 99 개념플러스유형 개념편 라이트 2-1 답지 100 개념플러스유형 개념편 라이트 2-1 답지 101 개념플러스유형 개념편 라이트 2-1 답지 102 개념플러스유형 개념편 라이트 2-1 답지 103 개념플러스유형 개념편 라이트 2-1 답지 104 개념플러스유형 개념편 라이트 2-1 답지 105 개념플러스유형 개념편 라이트 2-1 답지 106 개념플러스유형 개념편 라이트 2-1 답지 107 개념플러스유형 개념편 라이트 2-1 답지 108 개념플러스유형 개념편 라이트 2-1 답지 109 개념플러스유형 개념편 라이트 2-1 답지 110 개념플러스유형 개념편 라이트 2-1 답지 111 개념플러스유형 개념편 라이트 2-1 답지 112 개념플러스유형 개념편 라이트 2-1 답지 113 개념플러스유형 개념편 라이트 2-1 답지 114 개념플러스유형 개념편 라이트 2-1 답지 115 개념플러스유형 개념편 라이트 2-1 답지 116 개념플러스유형 개념편 라이트 2-1 답지 117 개념플러스유형 개념편 라이트 2-1 답지 118 개념플러스유형 개념편 라이트 2-1 답지 119 개념플러스유형 개념편 라이트 2-1 답지 120
중2모든답지(댓글로답지요청받아용~)
카테고리 문제집명 링크
기초 개념 & 연산 수력충전 중2-1 바로가기
풍산자 반복수학 중2-1 바로가기
교과서 개념잡기 중2-1 바로가기
개념플러스연산 중2-1 바로가기
베이직쎈 중2-1 바로가기
유형 완성 & 내신 대비 쎈 중2-1 바로가기
쎈B 중2-1 바로가기
개념쎈 중2-1 바로가기
라이트쎈 중2-1 바로가기
체크체크 중2-1 바로가기
유형만렙 중2-1 바로가기
우공비Q+Q 중2-1 (표준) 바로가기
개념원리 중2-1 바로가기
RPM 중2-1 바로가기
심화 & 최상위 블랙라벨 중2-1 바로가기
고쟁이 중2-1 바로가기
일품 중2-1 바로가기
최상위수학 중2-1 준비중
에이급수학 중2-1 준비중
중고등 영문법 문마중 Level 1 바로가기
문마중 Level 2 바로가기
문마중 Level 3 바로가기
문마고 (고등영문법) 바로가기
과학 오투 과학 2-1 바로가기
완자 중등과학 중2 바로가기
엔픽 통합과학 중2 바로가기
역사 22개정 한끝 중등역사 2-1 바로가기

📚 개념플러스유형 2-1 답지 다운로드

원하시는 파일 형식을 선택해 주세요.
클릭 시 다운로드 전용 페이지로 이동하며 전면 광고가 노출될 수 있습니다.

파일은 구글 드라이브를 통해 안전하게 제공됩니다.
무단 배포 방지를 위해 보안 페이지를 거쳐 이동합니다.

개념플러스유형 개념편 라이트 2-1 답지 121 개념플러스유형 개념편 라이트 2-1 답지 122 개념플러스유형 개념편 라이트 2-1 답지 123 개념플러스유형 개념편 라이트 2-1 답지 124 개념플러스유형 개념편 라이트 2-1 답지 125 개념플러스유형 개념편 라이트 2-1 답지 126 개념플러스유형 개념편 라이트 2-1 답지 127 개념플러스유형 개념편 라이트 2-1 답지 128 개념플러스유형 개념편 라이트 2-1 답지 129 개념플러스유형 개념편 라이트 2-1 답지 130 개념플러스유형 개념편 라이트 2-1 답지 131 개념플러스유형 개념편 라이트 2-1 답지 132 개념플러스유형 개념편 라이트 2-1 답지 133 개념플러스유형 개념편 라이트 2-1 답지 134 개념플러스유형 개념편 라이트 2-1 답지 135 개념플러스유형 개념편 라이트 2-1 답지 136 개념플러스유형 개념편 라이트 2-1 답지 137 개념플러스유형 개념편 라이트 2-1 답지 138 개념플러스유형 개념편 라이트 2-1 답지 139 개념플러스유형 개념편 라이트 2-1 답지 140 개념플러스유형 개념편 라이트 2-1 답지 141 개념플러스유형 개념편 라이트 2-1 답지 142 개념플러스유형 개념편 라이트 2-1 답지 143 개념플러스유형 개념편 라이트 2-1 답지 144 개념플러스유형 개념편 라이트 2-1 답지 145 개념플러스유형 개념편 라이트 2-1 답지 146 개념플러스유형 개념편 라이트 2-1 답지 147 개념플러스유형 개념편 라이트 2-1 답지 148 개념플러스유형 개념편 라이트 2-1 답지 149 개념플러스유형 개념편 라이트 2-1 답지 150 개념플러스유형 개념편 라이트 2-1 답지 151 개념플러스유형 개념편 라이트 2-1 답지 152 개념플러스유형 개념편 라이트 2-1 답지 153 개념플러스유형 개념편 라이트 2-1 답지 154 개념플러스유형 개념편 라이트 2-1 답지 155 개념플러스유형 개념편 라이트 2-1 답지 156 개념플러스유형 개념편 라이트 2-1 답지 157 개념플러스유형 개념편 라이트 2-1 답지 158 개념플러스유형 개념편 라이트 2-1 답지 159 개념플러스유형 개념편 라이트 2-1 답지 160

📚 개념플러스유형 2-1 답지 다운로드

원하시는 파일 형식을 선택해 주세요.
클릭 시 다운로드 전용 페이지로 이동하며 전면 광고가 노출될 수 있습니다.

파일은 구글 드라이브를 통해 안전하게 제공됩니다.
무단 배포 방지를 위해 보안 페이지를 거쳐 이동합니다.

중2모든답지(댓글로답지요청받아용~)
카테고리 문제집명 링크
기초 개념 & 연산 수력충전 중2-1 바로가기
풍산자 반복수학 중2-1 바로가기
교과서 개념잡기 중2-1 바로가기
개념플러스연산 중2-1 바로가기
베이직쎈 중2-1 바로가기
유형 완성 & 내신 대비 쎈 중2-1 바로가기
쎈B 중2-1 바로가기
개념쎈 중2-1 바로가기
라이트쎈 중2-1 바로가기
체크체크 중2-1 바로가기
유형만렙 중2-1 바로가기
우공비Q+Q 중2-1 (표준) 바로가기
개념원리 중2-1 바로가기
RPM 중2-1 바로가기
심화 & 최상위 블랙라벨 중2-1 바로가기
고쟁이 중2-1 바로가기
일품 중2-1 바로가기
최상위수학 중2-1 준비중
에이급수학 중2-1 준비중
중고등 영문법 문마중 Level 1 바로가기
문마중 Level 2 바로가기
문마중 Level 3 바로가기
문마고 (고등영문법) 바로가기
과학 오투 과학 2-1 바로가기
완자 중등과학 중2 바로가기
엔픽 통합과학 중2 바로가기
역사 22개정 한끝 중등역사 2-1 바로가기

📚 개념플러스유형 2-1 답지 다운로드

원하시는 파일 형식을 선택해 주세요.
클릭 시 다운로드 전용 페이지로 이동하며 전면 광고가 노출될 수 있습니다.

파일은 구글 드라이브를 통해 안전하게 제공됩니다.
무단 배포 방지를 위해 보안 페이지를 거쳐 이동합니다.

중2모든답지(댓글로답지요청받아용~)
카테고리 문제집명 링크
기초 개념 & 연산 수력충전 중2-1 바로가기
풍산자 반복수학 중2-1 바로가기
교과서 개념잡기 중2-1 바로가기
개념플러스연산 중2-1 바로가기
베이직쎈 중2-1 바로가기
유형 완성 & 내신 대비 쎈 중2-1 바로가기
쎈B 중2-1 바로가기
개념쎈 중2-1 바로가기
라이트쎈 중2-1 바로가기
체크체크 중2-1 바로가기
유형만렙 중2-1 바로가기
우공비Q+Q 중2-1 (표준) 바로가기
개념원리 중2-1 바로가기
RPM 중2-1 바로가기
심화 & 최상위 블랙라벨 중2-1 바로가기
고쟁이 중2-1 바로가기
일품 중2-1 바로가기
최상위수학 중2-1 준비중
에이급수학 중2-1 준비중
중고등 영문법 문마중 Level 1 바로가기
문마중 Level 2 바로가기
문마중 Level 3 바로가기
문마고 (고등영문법) 바로가기
과학 오투 과학 2-1 바로가기
완자 중등과학 중2 바로가기
엔픽 통합과학 중2 바로가기
역사 22개정 한끝 중등역사 2-1 바로가기

댓글 남기기