풍산자 반복수학 미적분 답지 – 정답 및 해설 PDF 다운로드 | 답지나라

풍산자 반복수학 미적분 답지 – 정답 및 해설 PDF 다운로드 | 답지나라

📚 풍산자 반복수학 미적분 답지

풍산자 반복수학 미적분 답지를 찾고 계신가요? 이 페이지에서 정답과 상세한 해설을 무료로 확인하실 수 있습니다.

풍산자 반복수학은 지학사에서 출간한 고등 수학 교재로, 핵심 개념을 반복 학습하며 실력을 탄탄하게 다질 수 있도록 구성되어 있습니다. 미적분 과목은 극한, 미분, 적분의 개념을 체계적으로 익힐 수 있으며, 다양한 난이도의 문제를 통해 수능과 내신을 동시에 대비할 수 있습니다.

아래에서 풍산자 반복수학 미적분의 빠른답지와 전체 해설 PDF를 다운로드하거나, 이미지로 바로 확인하실 수 있습니다. 각 문제의 상세한 풀이 과정이 담겨 있어 오답 분석과 개념 복습에 효과적입니다.

답지는 학습의 도구입니다. 문제를 먼저 풀어본 후 답을 확인하고, 틀린 문제는 해설을 통해 원리를 이해하는 자기주도학습 습관을 길러보세요. 지금 바로 답지를 활용해 미적분 실력을 향상시켜보세요!

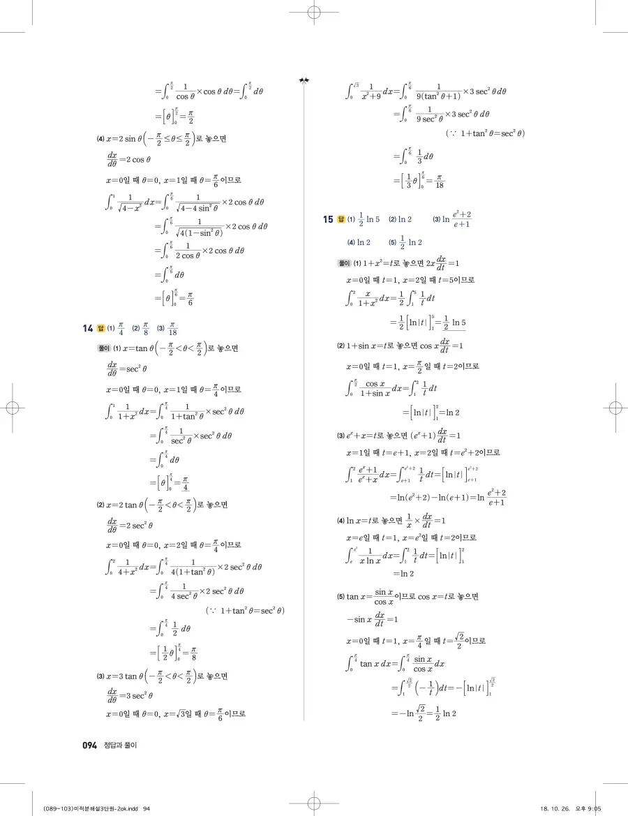
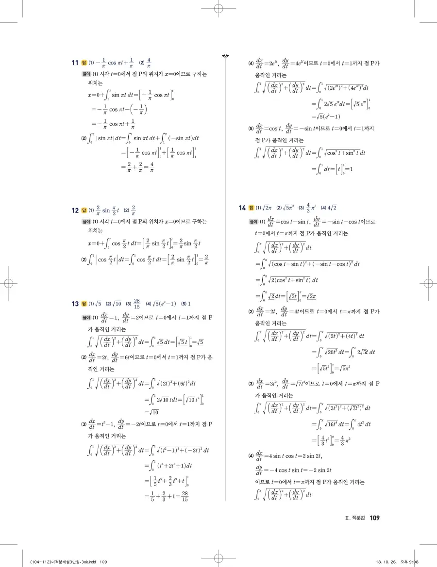
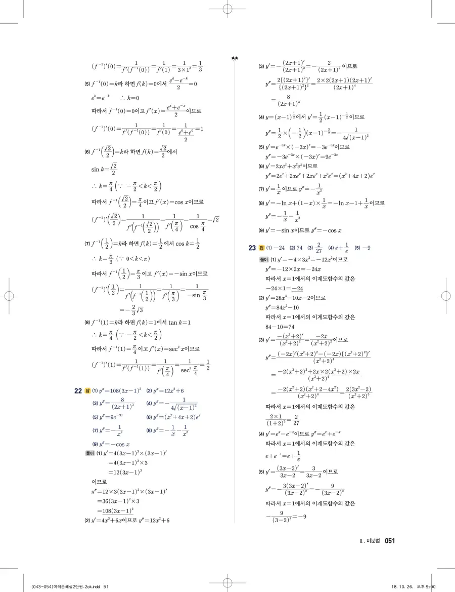
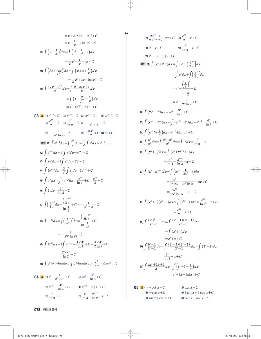
📚 풍산자 반복수학 미적분 전체 해설 이미지

풍산자 반복수학 미적분 답지 1페이지 풍산자 반복수학 미적분 답지 2페이지 풍산자 반복수학 미적분 답지 3페이지 풍산자 반복수학 미적분 답지 4페이지 풍산자 반복수학 미적분 답지 5페이지 풍산자 반복수학 미적분 답지 6페이지 풍산자 반복수학 미적분 답지 7페이지 풍산자 반복수학 미적분 답지 8페이지 풍산자 반복수학 미적분 답지 9페이지 풍산자 반복수학 미적분 답지 10페이지 풍산자 반복수학 미적분 답지 11페이지 풍산자 반복수학 미적분 답지 12페이지 풍산자 반복수학 미적분 답지 13페이지 풍산자 반복수학 미적분 답지 14페이지 풍산자 반복수학 미적분 답지 15페이지 풍산자 반복수학 미적분 답지 16페이지 풍산자 반복수학 미적분 답지 17페이지 풍산자 반복수학 미적분 답지 18페이지 풍산자 반복수학 미적분 답지 19페이지 풍산자 반복수학 미적분 답지 20페이지 풍산자 반복수학 미적분 답지 21페이지 풍산자 반복수학 미적분 답지 22페이지 풍산자 반복수학 미적분 답지 23페이지 풍산자 반복수학 미적분 답지 24페이지 풍산자 반복수학 미적분 답지 25페이지 풍산자 반복수학 미적분 답지 26페이지 풍산자 반복수학 미적분 답지 27페이지 풍산자 반복수학 미적분 답지 28페이지 풍산자 반복수학 미적분 답지 29페이지 풍산자 반복수학 미적분 답지 30페이지 풍산자 반복수학 미적분 답지 31페이지 풍산자 반복수학 미적분 답지 32페이지 풍산자 반복수학 미적분 답지 33페이지 풍산자 반복수학 미적분 답지 34페이지 풍산자 반복수학 미적분 답지 35페이지 풍산자 반복수학 미적분 답지 36페이지 풍산자 반복수학 미적분 답지 37페이지 풍산자 반복수학 미적분 답지 38페이지 풍산자 반복수학 미적분 답지 39페이지 풍산자 반복수학 미적분 답지 40페이지 풍산자 반복수학 미적분 답지 41페이지 풍산자 반복수학 미적분 답지 42페이지 풍산자 반복수학 미적분 답지 43페이지 풍산자 반복수학 미적분 답지 44페이지 풍산자 반복수학 미적분 답지 45페이지 풍산자 반복수학 미적분 답지 46페이지 풍산자 반복수학 미적분 답지 47페이지 풍산자 반복수학 미적분 답지 48페이지 풍산자 반복수학 미적분 답지 49페이지 풍산자 반복수학 미적분 답지 50페이지 풍산자 반복수학 미적분 답지 51페이지 풍산자 반복수학 미적분 답지 52페이지 풍산자 반복수학 미적분 답지 53페이지 풍산자 반복수학 미적분 답지 54페이지 풍산자 반복수학 미적분 답지 55페이지 풍산자 반복수학 미적분 답지 56페이지 풍산자 반복수학 미적분 답지 57페이지 풍산자 반복수학 미적분 답지 58페이지 풍산자 반복수학 미적분 답지 59페이지 풍산자 반복수학 미적분 답지 60페이지 풍산자 반복수학 미적분 답지 61페이지 풍산자 반복수학 미적분 답지 62페이지 풍산자 반복수학 미적분 답지 63페이지 풍산자 반복수학 미적분 답지 64페이지 풍산자 반복수학 미적분 답지 65페이지 풍산자 반복수학 미적분 답지 66페이지 풍산자 반복수학 미적분 답지 67페이지 풍산자 반복수학 미적분 답지 68페이지 풍산자 반복수학 미적분 답지 69페이지 풍산자 반복수학 미적분 답지 70페이지 풍산자 반복수학 미적분 답지 71페이지 풍산자 반복수학 미적분 답지 72페이지 풍산자 반복수학 미적분 답지 73페이지 풍산자 반복수학 미적분 답지 74페이지 풍산자 반복수학 미적분 답지 75페이지 풍산자 반복수학 미적분 답지 76페이지 풍산자 반복수학 미적분 답지 77페이지 풍산자 반복수학 미적분 답지 78페이지 풍산자 반복수학 미적분 답지 79페이지 풍산자 반복수학 미적분 답지 80페이지 풍산자 반복수학 미적분 답지 81페이지 풍산자 반복수학 미적분 답지 82페이지 풍산자 반복수학 미적분 답지 83페이지 풍산자 반복수학 미적분 답지 84페이지 풍산자 반복수학 미적분 답지 85페이지 풍산자 반복수학 미적분 답지 86페이지 풍산자 반복수학 미적분 답지 87페이지 풍산자 반복수학 미적분 답지 88페이지 풍산자 반복수학 미적분 답지 89페이지 풍산자 반복수학 미적분 답지 90페이지 풍산자 반복수학 미적분 답지 91페이지 풍산자 반복수학 미적분 답지 92페이지 풍산자 반복수학 미적분 답지 93페이지 풍산자 반복수학 미적분 답지 94페이지 풍산자 반복수학 미적분 답지 95페이지 풍산자 반복수학 미적분 답지 96페이지 풍산자 반복수학 미적분 답지 97페이지 풍산자 반복수학 미적분 답지 98페이지 풍산자 반복수학 미적분 답지 99페이지 풍산자 반복수학 미적분 답지 100페이지 풍산자 반복수학 미적분 답지 101페이지 풍산자 반복수학 미적분 답지 102페이지 풍산자 반복수학 미적분 답지 103페이지 풍산자 반복수학 미적분 답지 104페이지 풍산자 반복수학 미적분 답지 105페이지 풍산자 반복수학 미적분 답지 106페이지 풍산자 반복수학 미적분 답지 107페이지 풍산자 반복수학 미적분 답지 108페이지 풍산자 반복수학 미적분 답지 109페이지 풍산자 반복수학 미적분 답지 110페이지 풍산자 반복수학 미적분 답지 111페이지 풍산자 반복수학 미적분 답지 112페이지

댓글 남기기