쎈수학대수 0081번 x=3^(1/3)+3^(-1/3) 세제곱 전개 x³=x+10/3 관계 | 3ab항 누락 방지 유제 완전 해설

쎈수학 대수 유형0081 | 지수 식의 변형과 활용 | 유제 풀이

쎈수학 대수 유형0081 유제 풀이

쎈수학 대수 · B스텝 · 01. 지수 · 유형 11 지수 식의 변형과 활용 · 난이도 ★★★☆☆

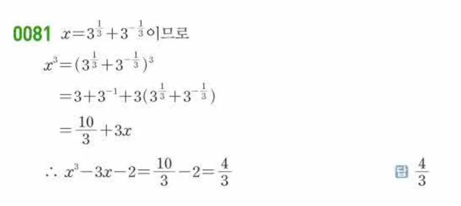
이 문제는 x=3^(1/3)+3^(-1/3) 치환으로 x³과 x의 관계식을 세우고 목표 식을 역산하는 문제입니다.

  • ✔ 3등급 학생이 x³을 단순 전개하다 중간 3ab항을 빠뜨려 관계식이 틀리는 유형
  • ✔ (a+b)³=a³+b³+3ab(a+b) 공식을 적용하지 않아 x³과 x의 관계 도출 실패
  • ✔ (a+b)³ 공식 적용 → x³=x+10/3 관계 도출 → 목표 식 역산의 3단계가 핵심
쎈수학 대수 유형0081 해설

잠깐만요! 이 문제의 중요한 부분을 확인하세요

  • x³ 세제곱 전개할 때 3ab항 빠뜨리면 완전히 다른 답이 나옵니다
  • x=3^(1/3)+3^(-1/3)이면 (a+b)³ 공식에서 3ab(a+b) 항이 반드시 포함됩니다
  • 3×3^(1/3)×3^(-1/3)×x = 3x이므로 x³ = 3+3^(-1)+3x = 10/3+3x 관계가 성립합니다
  • 이 관계식을 목표 식에 대입하면 4/3을 얻을 수 있습니다
  • 📌 내신 관점: 3ab 항 도출 근거와 관계식 설정 과정을 서술해야 감점 없음
  • 📌 수능 관점: 3ab항 누락을 유도한 뒤 관계식 활용으로만 풀리는 전형적 변별 유형
정답 4/3
▶ 유형 0081 — 지수 식의 변형과 활용 풀이 영상
📖
241 답지나라개념사전 | 지수법칙 – 지수가 유리수일 때
유리수 지수 계산법칙과 분수 지수 혼합 계산 핵심 정리
개념 보러가기 →
📖
242 답지나라개념사전 | 지수법칙 – 지수가 실수일 때 최종 확장
실수 지수·무리수 지수 계산법칙 최종 정리
개념 보러가기 →
✏️
대수워크시트5 지수가 유리수인 경우
분수 지수 변환·계산 반복 훈련 — 지수법칙 적용 순서 완벽 체화
워크시트 보러가기 →
✏️
대수워크시트6 지수가 실수인 때의 지수법칙
실수 지수 혼합 계산 집중 훈련 — 공통인수 묶기 실전 체화
워크시트 보러가기 →
쎈수학 대수 · 좋은책신사고
B스텝 유형 0081 · 01. 지수 · 유형 11 지수 식의 변형과 활용

댓글 남기기