쎈수학대수 0075번 a=√5·b=³√3 역산으로 15^(1/6)=a^(1/3)·b^(1/2) 변환 | 합성 지수 표현 유제 풀이

쎈수학 대수 유형0075 | 조건이 주어진 지수 계산 | 유제 풀이

쎈수학 대수 유형0075 유제 풀이

쎈수학 대수 · B스텝 · 01. 지수 · 유형 09 조건이 주어진 지수 계산 · 난이도 ★★☆☆☆

이 문제는 a=√5, b=³√3 조건을 역산해 5·3을 a·b로 표현하고 15^(1/6)을 a·b의 지수로 정리하는 문제입니다.

  • ✔ 3등급 학생이 a=√5에서 5=a²임을 바로 못 떠올려 역산 방향이 반대로 꼬이는 유형
  • ✔ 15=5×3을 a²·b³으로 변환한 뒤 1/6 지수 배분 단계에서 누락 발생
  • ✔ 조건 역산(5=a², 3=b³) → 15 분해 → 1/6 지수 배분 → a·b 정리의 4단계가 핵심
쎈수학 대수 유형0075 해설

잠깐만요! 이 문제의 중요한 부분을 확인하세요

  • a, b 역산 방향 혼동하면 지수 대입이 처음부터 틀립니다
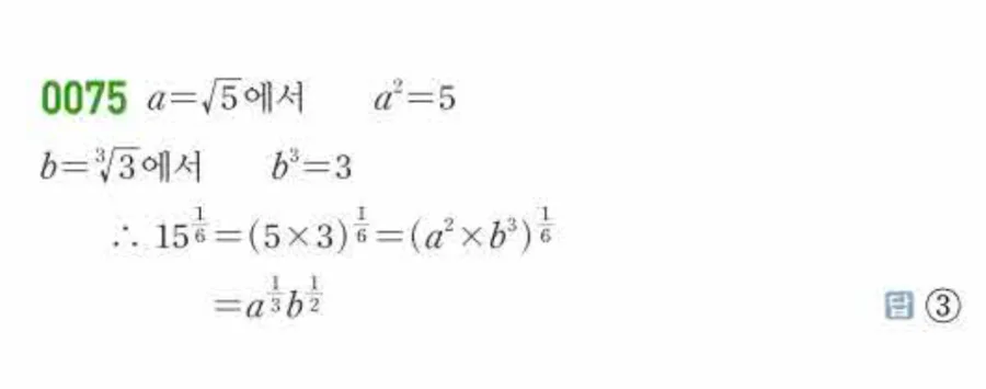
  • a=√5=5^(1/2)에서 a²=5, b=³√3=3^(1/3)에서 b³=3으로 역산하세요
  • 15^(1/6)=(5×3)^(1/6)=(a²·b³)^(1/6)=a^(1/3)·b^(1/2)으로 정리하세요
  • 역산 없이 a·b를 직접 대입하면 지수 배분 구조 자체가 성립하지 않습니다
  • 📌 내신 관점: 역산 근거·15 분해·지수 배분 과정을 단계별로 명시해야 만점
  • 📌 수능 관점: 역산 방향 혼동을 유도하도록 a, b 표현을 의도적으로 배치한 함정형
정답
▶ 유형 0075 — 조건이 주어진 지수 계산 풀이 영상
📖
240 답지나라개념사전 | 지수의 확장 – 정수에서 유리수로
분수 지수 정의와 유리수 지수로의 확장 원리 핵심 정리
개념 보러가기 →
📖
241 답지나라개념사전 | 지수법칙 – 지수가 유리수일 때
유리수 지수 계산법칙과 분수 지수 혼합 계산 핵심 정리
개념 보러가기 →
✏️
대수워크시트5 지수가 유리수인 경우
분수 지수 변환·계산 반복 훈련 — 지수법칙 적용 순서 완벽 체화
워크시트 보러가기 →
✏️
대수워크시트6 지수가 실수인 때의 지수법칙
실수 지수 혼합 계산 집중 훈련 — 공통인수 묶기 실전 체화
워크시트 보러가기 →
쎈수학 대수 · 좋은책신사고
B스텝 유형 0075 · 01. 지수 · 유형 09 조건이 주어진 지수 계산

댓글 남기기