쎈수학대수 0072번 분수지수 합산 ⁶√(1/a)=a^(-1/6) 등치로 자연수 k 결정 | 부호 실수 방지 유제 풀이

쎈수학 대수 유형0072 | 중첩된 거듭제곱근의 계산 | 유제 풀이

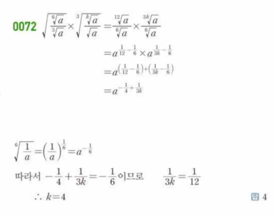
쎈수학 대수 유형0072 유제 풀이

쎈수학 대수 · B스텝 · 01. 지수 · 유형 08 중첩된 거듭제곱근의 계산 · 난이도 ★★★☆☆

이 문제는 각 항을 a의 분수 지수로 변환하고 합산해 ⁶√(1/a)와 등치시켜 자연수 k를 구하는 문제입니다.

  • ✔ 3등급 학생이 1/a를 a^(-1)로 변환하지 않아 지수 합산 방향이 틀리는 유형
  • ✔ 각 항 변환 후 부호를 반전해야 할 나눗셈 항에서 부호 실수 발생
  • ✔ 전체 변환 → 부호 확인 → 지수 합산 → a^(-1/6) 등치 → k 산출의 5단계가 핵심
쎈수학 대수 유형0072 해설

잠깐만요! 이 문제의 중요한 부분을 확인하세요

  • 분수 지수 변환 단계에서 부호 실수 하나면 자연수 k를 절대 못 구합니다
  • 각 항을 a^(지수) 형태로 변환할 때 1/a=a^(-1) 관계를 반드시 적용하세요
  • 지수를 합산한 결과를 ⁶√(1/a)=a^(-1/6)과 등치시키면 k를 구하는 방정식이 완성됩니다
  • 부호 하나가 틀리면 자연수 조건을 만족하는 k가 존재하지 않게 됩니다
  • 📌 내신 관점: 각 항 변환 부호와 합산 과정을 명시하지 않으면 감점
  • 📌 수능 관점: 역수 항의 부호 반전을 놓치도록 복잡한 변환 구조로 설계한 함정형
정답 4
▶ 유형 0072 — 중첩된 거듭제곱근의 계산 풀이 영상
📖
240 답지나라개념사전 | 지수의 확장 – 정수에서 유리수로
분수 지수 정의와 유리수 지수로의 확장 원리 핵심 정리
개념 보러가기 →
📖
241 답지나라개념사전 | 지수법칙 – 지수가 유리수일 때
유리수 지수 계산법칙과 분수 지수 혼합 계산 핵심 정리
개념 보러가기 →
✏️
대수워크시트5 지수가 유리수인 경우
분수 지수 변환·계산 반복 훈련 — 지수법칙 적용 순서 완벽 체화
워크시트 보러가기 →
✏️
대수워크시트6 지수가 실수인 때의 지수법칙
실수 지수 혼합 계산 집중 훈련 — 공통인수 묶기 실전 체화
워크시트 보러가기 →
쎈수학 대수 · 좋은책신사고
B스텝 유형 0072 · 01. 지수 · 유형 08 중첩된 거듭제곱근의 계산

댓글 남기기