쎈수학대수 0063번 2^a=9 조건 활용 (1/8)^(a/6) 변환 | 2^(-a/2)로 정리 후 조건 역수 대입 유제 풀이

쎈수학 대수 유형0063 | 지수가 실수인 식의 계산 | 유제 풀이

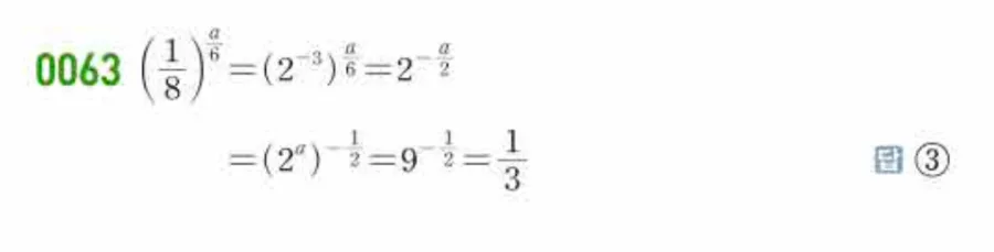
쎈수학 대수 유형0063 유제 풀이

쎈수학 대수 · B스텝 · 01. 지수 · 유형 06 지수가 실수인 식의 계산 · 난이도 ★★☆☆☆

이 문제는 주어진 지수 조건을 분수 지수 변환으로 연결해 목표 식의 값을 구하는 문제입니다.

  • ✔ 3등급 학생이 조건을 변환 없이 직접 대입하려다 지수 형태가 맞지 않아 막히는 유형
  • ✔ (1/8)^(a/6)을 2^(-a/2)로 변환하지 않아 2^a=9 조건을 활용하지 못함
  • ✔ 목표 식을 밑 2로 통일 → 지수 정리 → 조건 대입 → 값 산출의 4단계가 핵심
쎈수학 대수 유형0063 해설

잠깐만요! 이 문제의 중요한 부분을 확인하세요

  • 2^a = 9 조건을 (1/8)^(a/6)에 바로 대입하려 하면 지수 변환에서 실수합니다
  • (1/8)^(a/6) = 2^(-3·a/6) = 2^(-a/2)로 먼저 밑 2 형태로 변환하세요
  • 변환 후 2^(-a/2) = (2^a)^(-1/2) = 9^(-1/2) = 1/3으로 조건을 자연스럽게 대입하세요
  • 조건을 그대로 대입하려 하면 지수 형태가 달라 대입 자체가 불가능합니다
  • 📌 내신 관점: 밑 통일·지수 변환·조건 대입 과정을 단계별로 서술해야 감점 없음
  • 📌 수능 관점: 조건을 직접 대입하도록 유도한 뒤 변환이 필요하다는 것을 숨긴 전형적 함정형
정답
▶ 유형 0063 — 지수가 실수인 식의 계산 풀이 영상
📖
241 답지나라개념사전 | 지수법칙 – 지수가 유리수일 때
유리수 지수 계산법칙과 분수 지수 혼합 계산 핵심 정리
개념 보러가기 →
📖
242 답지나라개념사전 | 지수법칙 – 지수가 실수일 때 최종 확장
실수 지수 계산과 무리수 지수 혼합 계산 규칙 최종 정리
개념 보러가기 →
✏️
대수워크시트5 지수가 유리수인 경우
분수 지수 변환·계산 반복 훈련 — 지수법칙 적용 순서 완벽 체화
워크시트 보러가기 →
✏️
대수워크시트6 지수가 실수인 때의 지수법칙
실수 지수 혼합 계산 집중 훈련 — 공통인수 묶기 실전 체화
워크시트 보러가기 →
쎈수학 대수 · 좋은책신사고
B스텝 유형 0063 · 01. 지수 · 유형 06 지수가 실수인 식의 계산

댓글 남기기