쎈수학대수 0057번 밑 2로 통일 음수 지수 연산 n값 계산 | 4⁻³과 (4⁻⁶÷2⁻⁵)⁻⁴ 처리로 2ⁿ 결정 유제

쎈수학 대수 유형0057 | 지수가 정수인 식의 계산 | 유제 풀이

쎈수학 대수 유형0057 유제 풀이

쎈수학 대수 · B스텝 · 01. 거듭제곱근 · 유형 05 지수가 정수인 식의 계산 · 난이도 ★★★☆☆

이 문제는 음수 지수와 거듭제곱이 중첩된 식을 밑 2로 통일해 지수를 단계별로 정리하는 문제입니다.

  • ✔ 3등급 학생이 괄호 안 나눗셈을 먼저 처리하지 않아 지수 순서가 꼬이는 유형
  • ✔ 4⁻⁶÷2⁻⁵ 단계에서 나눗셈을 역수 곱셈으로 바꾸지 않아 지수 부호 오류 발생
  • ✔ 밑 2 통일 → 괄호 안 나눗셈 처리 → 거듭제곱 적용 → 최종 지수 합산의 4단계가 핵심
쎈수학 대수 유형0057 해설

잠깐만요! 이 문제의 중요한 부분을 확인하세요

  • 나눗셈을 역수 곱셈으로 바꾸고 음수 지수 처리 순서를 틀리면 n값이 완전히 달라집니다
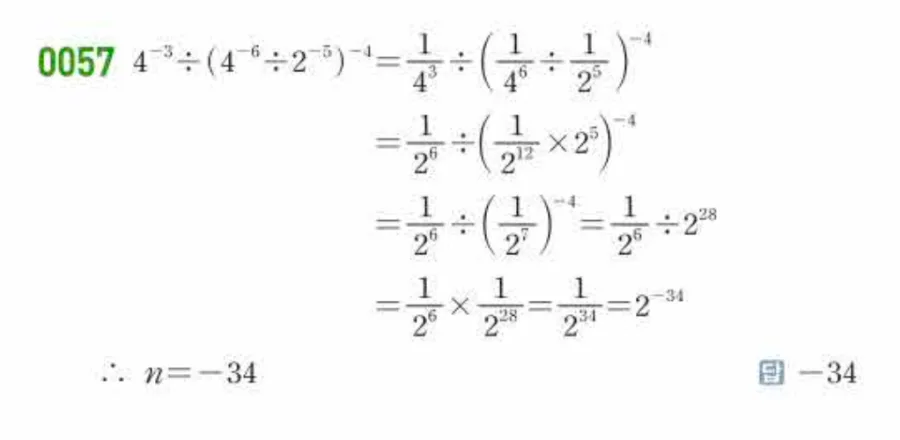
  • 밑을 2로 통일하면 4⁻³=2⁻⁶, (4⁻⁶÷2⁻⁵)=(2⁻¹²÷2⁻⁵)=2⁻⁷이 됩니다
  • (2⁻⁷)⁻⁴=2²⁸이므로 2⁻⁶÷2²⁸=2⁻³⁴ — 따라서 n=-34입니다
  • 괄호 안 나눗셈을 먼저 처리한 뒤 거듭제곱을 적용해야 지수 계산 순서가 맞습니다
  • 📌 내신 관점: 단계별 지수 변환 과정을 빠짐없이 서술해야 감점 없음
  • 📌 수능 관점: 괄호와 음수 지수를 중첩해 연산 순서 혼동을 유도하는 전형적 함정형
정답 -34
▶ 유형 0057 — 지수가 정수인 식의 계산 풀이 영상
📖
238 답지나라개념사전 | 지수가 0일 때와 음의 정수일 때의 정의
a⁰=1, a⁻ⁿ=1/aⁿ 정의와 음수 지수 계산 원리 핵심 정리
개념 보러가기 →
📖
239 답지나라개념사전 | 지수법칙 – 지수가 정수일 때 확장된 법칙
음의 정수 지수까지 확장된 지수법칙 계산 규칙 집중 정리
개념 보러가기 →
✏️
대수워크시트4 지수가 0 또는 음의 정수인 경우
음수 지수 정의·역수 변환 반복 훈련 — 부호 실수 완전 제거
워크시트 보러가기 →
✏️
대수워크시트5 지수가 유리수인 경우
정수·유리수 지수 혼합 계산 집중 훈련 — 지수법칙 완벽 체화
워크시트 보러가기 →
쎈수학 대수 · 좋은책신사고
B스텝 유형 0057 · 01. 거듭제곱근 · 유형 05 지수가 정수인 식의 계산

댓글 남기기