쎈공통수학1 0386 √a/√b=−√(a/b)일 때 항상 옳은 것 고르기|a>0 b<0 조건에서 5개 선지 하나씩 검증하는 전수조사|√(a²b)=a√b? √(ab²)=−b√a? 음수 제곱근 성질 총 점검표

쎈 공통수학1 0386번 음수의 제곱근의 성질 — 항상 옳은 등식 | 완전 풀이
B단계 유형 🔥 상

📘 0386번 — 음수의 제곱근의 성질 — 항상 옳은 등식

난이도: ⭐⭐⭐  |  핵심 개념: 음수의 제곱근 성질, 항상 옳은 등식
🔥 조건에서 부호를 결정하고 보기를 검증! √a/√b=−√(a/b)에서 a>0, b<0을 파악한 뒤 각 보기를 확인하세요. 💪

📋 이 포스팅에 포함된 것들

  • 문제 분석 & 핵심 단서 찾기
  • 단계별 친절한 풀이 설명
  • 풀이 영상 (유튜브)
  • 해설 이미지
  • 외워두면 좋은 꿀팁 패턴
  • 흔한 실수 경고
  • 내신·수능 목표 풀이 시간
  • 관련 개념 & 연산 워크시트 링크
🎬 풀이 영상

영상으로 흐름을 먼저 파악하고, 아래 풀이와 함께 복습하면 효과 2배! 💪

🔍 문제 분석 & 핵심 단서
[문제 요약]
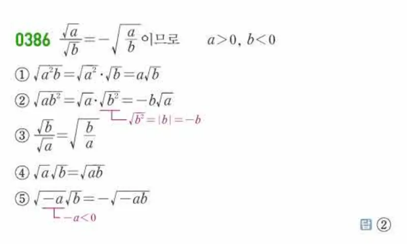
√a/√b=−√(a/b)일 때, 항상 옳은 것을 고르는 문제
🔑 이 문제의 핵심 단서는 바로 이것!

√a/√b=−√(a/b) 조건에서 a>0, b<0! 이 부호를 각 보기에 적용하여 등식이 성립하는지 확인하세요.

✏️ 단계별 풀이 설명
1
조건에서 부호 결정
√a/√b=−√(a/b)이 성립하려면
a>0, b<0
2
② √(ab²) 검증
b<0이므로 b²>0, a>0이므로 ab²>0
√(ab²) = √a·|b| = √a·(−b) [∵ b<0]
= −b√a
3
이것이 항상 옳은지?
a>0, b<0에서 −b>0이므로
√(ab²) = −b√a는 항상 성립
정답: ②
💡 외워두면 좋은 꿀팁 패턴
🌟 이 유형의 황금 패턴

부호 조건 문제의 핵심: ① 조건에서 부호 결정 → ② 각 보기에 부호 적용 → ③ |b|=−b (b<0) 같은 절댓값 처리 정확히!

⚠️ 이것만 조심하세요!

a>0, b<0에서 |b|=−b(b<0이니까!)라는 처리를 정확히 해야 해요. |b|=b로 쓰면 부호가 완전히 바뀌어요!

⏱️ 목표 풀이 시간

처음엔 시간 제한 없이 완전 이해 우선! 반복으로 시간을 줄여가세요.

🏫 내신 시험
4~5분
정확한 계산이 우선
📝 수능 시험
2~3분
패턴 숙달 후 도전
시간 줄이는 법: 조건에서 a>0, b<0을 빠르게 파악한 뒤 보기를 하나씩 검증하세요. b<0에서 |b|=−b를 자동으로 처리하는 연습이 핵심!
🖼️ 해설 이미지
쎈 공통수학1 0386번 해설
이미지를 불러오는 중입니다…
🗺️ 추천 학습 순서
✍️ 연산 워크시트
📖 개념 포스트
🎯 마플시너지

기초부터 탄탄히 쌓아야 실전이 보입니다! 🚀

댓글 남기기