B단계 유형 🔥 상
📘 0380번 — 복소수의 거듭제곱 — 주기와 최소공배수
🔥 두 복소수의 주기를 구하고 최소공배수! zⁿ=wⁿ이 되려면 각각의 주기의 최소공배수를 구해야 해요. 🏆
📋 이 포스팅에 포함된 것들
- 문제 분석 & 핵심 단서 찾기
- 단계별 친절한 풀이 설명
- 풀이 영상 (유튜브)
- 해설 이미지
- 외워두면 좋은 꿀팁 패턴
- 흔한 실수 경고
- 내신·수능 목표 풀이 시간
- 관련 개념 & 연산 워크시트 링크
🎬 풀이 영상
영상으로 흐름을 먼저 파악하고, 아래 풀이와 함께 복습하면 효과 2배! 💪
🔍 문제 분석 & 핵심 단서
[문제 요약]
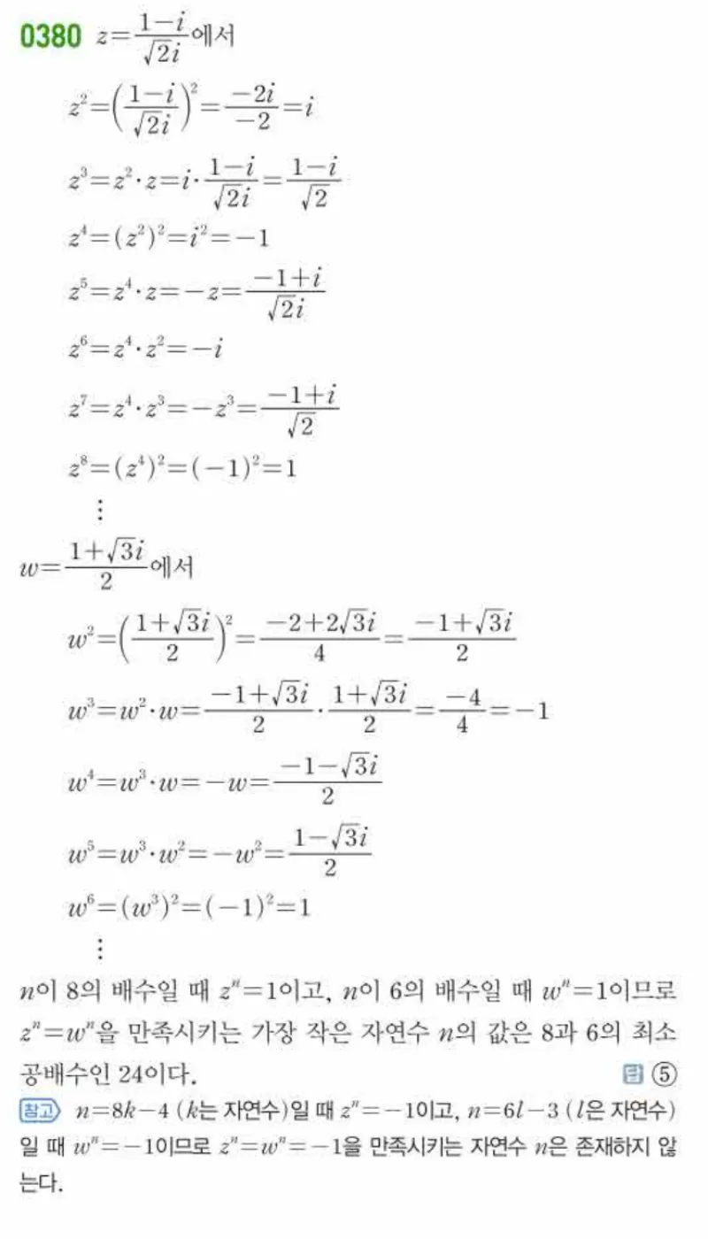
z=(1−i)/(√2·i), w=(1+√3·i)/2에 대하여 zⁿ=wⁿ을 만족시키는 가장 작은 자연수 n을 구하는 문제
z=(1−i)/(√2·i), w=(1+√3·i)/2에 대하여 zⁿ=wⁿ을 만족시키는 가장 작은 자연수 n을 구하는 문제
🔑 이 문제의 핵심 단서는 바로 이것!
z와 w의 거듭제곱 주기를 각각 구하세요! zⁿ=1이고 wⁿ=1이 동시에 성립하는 최소 n → 최소공배수(LCM)!
✏️ 단계별 풀이 설명
1
z 간소화
z = (1−i)/(√2·i)
= (1−i)/(√2·i)·(−i)/(−i)
= (−i+i²)/(√2)
= (−1−i)/√2
z = (1−i)/(√2·i)
= (1−i)/(√2·i)·(−i)/(−i)
= (−i+i²)/(√2)
= (−1−i)/√2
2
z의 주기 찾기
z² = (−1−i)²/2 = (1+2i−1)/2 = i
z⁴ = i² = −1
z⁸ = 1 → 주기 8
z² = (−1−i)²/2 = (1+2i−1)/2 = i
z⁴ = i² = −1
z⁸ = 1 → 주기 8
3
w의 주기 찾기
w = (1+√3·i)/2
w² = (1+2√3·i−3)/4 = (−1+√3·i)/2
w³ = −1, w⁶ = 1 → 주기 6
w = (1+√3·i)/2
w² = (1+2√3·i−3)/4 = (−1+√3·i)/2
w³ = −1, w⁶ = 1 → 주기 6
4
최소공배수
LCM(8, 6) = 24
LCM(8, 6) = 24
정답: ⑤
💡 외워두면 좋은 꿀팁 패턴
🌟 이 유형의 황금 패턴
zⁿ=wⁿ을 만족시키는 최소 n: 각 복소수의 거듭제곱 주기를 구한 뒤 → LCM(최소공배수)! 주기 찾기는 z²부터 차례로 계산하면 돼요.
⚠️ 이것만 조심하세요!
z와 w 각각의 주기를 정확히 구하지 못하면 풀 수 없어요! 또한 최소공배수와 최대공약수를 혼동하는 실수도 주의!
⏱️ 목표 풀이 시간
처음엔 시간 제한 없이 완전 이해 우선! 반복으로 시간을 줄여가세요.
🏫 내신 시험
5~6분
정확한 계산이 우선
📝 수능 시험
3~4분
패턴 숙달 후 도전
⚡ 시간 줄이는 법: z²을 먼저 구해서 주기를 빠르게 파악하세요! w=(1+√3i)/2는 자주 나오는 복소수(주기 6)이니 외워두면 좋아요.
🖼️ 해설 이미지
✍️ 연산 워크시트 (기초 다지기)
📚 관련 개념 포스트
🎯 마플시너지 추천 문제
상 난이도 전, 마플시너지로 중간 단계를 완성하세요!
🗺️ 추천 학습 순서
✍️ 연산 워크시트
→
📖 개념 포스트
→
🎯 마플시너지
기초부터 탄탄히 쌓아야 실전이 보입니다! 🚀