B단계 유형 🔥 상
📘 0375번 — 허수단위 i의 거듭제곱 — 보기 판별
🔥 iᵐ과 (−i)ᵐ의 합! zₘ=iᵐ/2+(−i)ᵐ/2의 값을 m을 4로 나눈 나머지별로 분류하면 보기를 판별할 수 있어요. 💡
📋 이 포스팅에 포함된 것들
- 문제 분석 & 핵심 단서 찾기
- 단계별 친절한 풀이 설명
- 풀이 영상 (유튜브)
- 해설 이미지
- 외워두면 좋은 꿀팁 패턴
- 흔한 실수 경고
- 내신·수능 목표 풀이 시간
- 관련 개념 & 연산 워크시트 링크
🎬 풀이 영상
영상으로 흐름을 먼저 파악하고, 아래 풀이와 함께 복습하면 효과 2배! 💪
🔍 문제 분석 & 핵심 단서
[문제 요약]
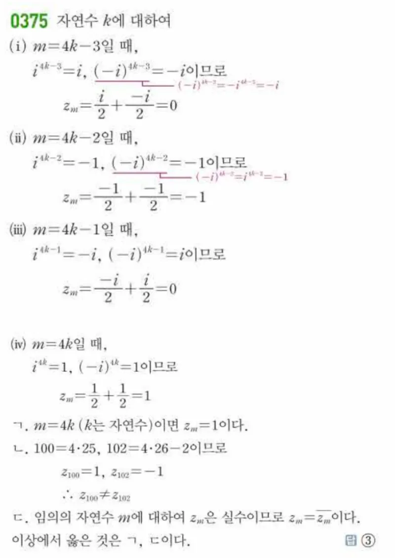
자연수 m에 대하여 zₘ=iᵐ/2+(−i)ᵐ/2일 때, 보기에서 옳은 것을 고르는 문제
자연수 m에 대하여 zₘ=iᵐ/2+(−i)ᵐ/2일 때, 보기에서 옳은 것을 고르는 문제
🔑 이 문제의 핵심 단서는 바로 이것!
m을 4로 나눈 나머지별로 iᵐ과 (−i)ᵐ을 각각 구하면 zₘ의 값이 결정돼요!
• m=4k: zₘ=1, • m=4k+1: zₘ=0, • m=4k+2: zₘ=−1, • m=4k+3: zₘ=0
✏️ 단계별 풀이 설명
1
m별 zₘ 값 계산
m=4k: iᵐ=1, (−i)ᵐ=1 → zₘ=1
m=4k+1: iᵐ=i, (−i)ᵐ=−i → zₘ=0
m=4k+2: iᵐ=−1, (−i)ᵐ=−1 → zₘ=−1
m=4k+3: iᵐ=−i, (−i)ᵐ=i → zₘ=0
m=4k: iᵐ=1, (−i)ᵐ=1 → zₘ=1
m=4k+1: iᵐ=i, (−i)ᵐ=−i → zₘ=0
m=4k+2: iᵐ=−1, (−i)ᵐ=−1 → zₘ=−1
m=4k+3: iᵐ=−i, (−i)ᵐ=i → zₘ=0
2
ㄱ. m=4k이면 zₘ=1
위에서 확인! 참 ✓
위에서 확인! 참 ✓
3
ㄴ. z₁₀₀=z₁₀₂?
100=4×25 → z₁₀₀=1
102=4×25+2 → z₁₀₂=−1
z₁₀₀ ≠ z₁₀₂ → 거짓 ✗
100=4×25 → z₁₀₀=1
102=4×25+2 → z₁₀₂=−1
z₁₀₀ ≠ z₁₀₂ → 거짓 ✗
4
ㄷ. zₘ은 항상 실수?
가능한 값: 1, 0, −1 모두 실수!
참 ✓
가능한 값: 1, 0, −1 모두 실수!
참 ✓
5
결론
ㄱ, ㄷ만 옳음
ㄱ, ㄷ만 옳음
정답: ③
💡 외워두면 좋은 꿀팁 패턴
🌟 이 유형의 황금 패턴
iᵐ과 (−i)ᵐ의 합: m이 홀수이면 서로 상쇄되어 0, 짝수이면 두 배가 돼요! (−i)ᵐ=(−1)ᵐ·iᵐ임을 이용하면 더 빠르게 판별 가능.
⚠️ 이것만 조심하세요!
(−i)ᵐ을 계산할 때 (−1)ᵐ·iᵐ으로 분리하는 것을 놓치면 각 경우를 일일이 확인해야 해서 시간이 걸려요!
⏱️ 목표 풀이 시간
처음엔 시간 제한 없이 완전 이해 우선! 반복으로 시간을 줄여가세요.
🏫 내신 시험
4~5분
정확한 계산이 우선
📝 수능 시험
3분
패턴 숙달 후 도전
⚡ 시간 줄이는 법: m=4k별 zₘ 패턴(1,0,−1,0)을 먼저 정리한 뒤 보기를 하나씩 대입해서 확인하세요!
🖼️ 해설 이미지
✍️ 연산 워크시트 (기초 다지기)
📚 관련 개념 포스트
🎯 마플시너지 추천 문제
상 난이도 전, 마플시너지로 중간 단계를 완성하세요!
🗺️ 추천 학습 순서
✍️ 연산 워크시트
→
📖 개념 포스트
→
🎯 마플시너지
기초부터 탄탄히 쌓아야 실전이 보입니다! 🚀