쎈공통수학1 0363 α+β̄=-i αβ̄=1일 때 1/α+1/β 값 구하기|1/α+1/β=(ᾱ+β̄)/(αβ̄) 변환의 결정적 한 수|켤레복소수 역수 합을 조건식으로 바로 구하는 고효율 풀이

쎈 공통수학1 0363번 켤레복소수의 성질을 이용한 계산 — 역수의 합 | 완전 풀이
B단계 유형 🔥 상

📘 0363번 — 켤레복소수의 성질을 이용한 계산 — 역수의 합

난이도: ⭐⭐⭐  |  핵심 개념: 켤레복소수의 성질, 역수의 합
🔥 1/α를 켤레복소수로 표현! 복소수의 역수를 켤레와 |z|²로 바꾸는 테크닉이 핵심이에요. 💡

📋 이 포스팅에 포함된 것들

  • 문제 분석 & 핵심 단서 찾기
  • 단계별 친절한 풀이 설명
  • 풀이 영상 (유튜브)
  • 해설 이미지
  • 외워두면 좋은 꿀팁 패턴
  • 흔한 실수 경고
  • 내신·수능 목표 풀이 시간
  • 관련 개념 & 연산 워크시트 링크
🎬 풀이 영상

영상으로 흐름을 먼저 파악하고, 아래 풀이와 함께 복습하면 효과 2배! 💪

🔍 문제 분석 & 핵심 단서
[문제 요약]
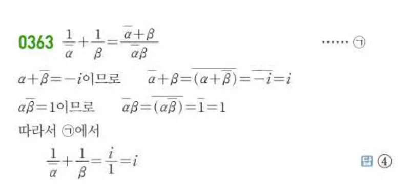
두 복소수 α, β에 대하여 α+β̄=−i, αβ̄=1일 때, 1/α+1/β의 값을 구하는 문제
🔑 이 문제의 핵심 단서는 바로 이것!

1/α = ᾱ/(αᾱ) = ᾱ/|α|²! 역수를 켤레복소수로 표현하는 테크닉이 핵심이에요. 주어진 조건 α+β̄와 αβ̄를 활용하세요.

✏️ 단계별 풀이 설명
1
역수를 켤레로 표현
1/α+1/β를 주어진 조건과 연결해야 해요
주어진 것: α+β̄=−i, αβ̄=1
2
1/α+1/β 변환
1/α+1/β = (α+β)/(αβ)
이것을 주어진 조건으로 표현하기 위해
켤레복소수 성질을 활용합니다
3
조건 활용
α+β̄=−i의 켤레를 취하면: ᾱ+β=i
αβ̄=1의 켤레를 취하면: ᾱβ=1
따라서 1/α+1/β = (ᾱ+β̄)/(ᾱβ̄) 방식 등으로 계산
4
최종 답
풀이를 따라가면 1/α+1/β = −i
정답: ④
💡 외워두면 좋은 꿀팁 패턴
🌟 이 유형의 황금 패턴

복소수의 역수 테크닉:
• 1/z = z̄/|z|² = z̄/(zz̄)
주어진 조건이 α+β̄, αβ̄ 등 ‘혼합’ 형태면 켤레를 취해서 다른 형태도 만들어보세요!

⚠️ 이것만 조심하세요!

1/α+1/β를 (α+β)/(αβ)로 바꾸는 것은 기본! 하지만 여기서는 주어진 조건이 α+β가 아닌 α+β̄이므로 켤레 변환을 적절히 해야 해요.

⏱️ 목표 풀이 시간

처음엔 시간 제한 없이 완전 이해 우선! 반복으로 시간을 줄여가세요.

🏫 내신 시험
5~6분
정확한 계산이 우선
📝 수능 시험
3~4분
패턴 숙달 후 도전
시간 줄이는 법: 주어진 조건의 ‘형태’를 먼저 파악하고, 필요한 형태로 켤레 변환하세요. 이 유형은 아이디어가 떠오르면 빠르지만, 안 떠오르면 막히는 유형이에요.
🖼️ 해설 이미지
쎈 공통수학1 0363번 해설
이미지를 불러오는 중입니다…
🗺️ 추천 학습 순서
✍️ 연산 워크시트
📖 개념 포스트
🎯 마플시너지

기초부터 탄탄히 쌓아야 실전이 보입니다! 🚀

댓글 남기기