B단계 유형
📘 0351번 — 켤레복소수의 계산 — z³+z̄³
💡 켤레복소수의 거듭제곱! z³+z̄³을 직접 계산하면 복잡해요. z+z̄와 zz̄를 이용한 항등식이 핵심! 🧠
📋 이 포스팅에 포함된 것들
- 문제 분석 & 핵심 단서 찾기
- 단계별 친절한 풀이 설명
- 풀이 영상 (유튜브)
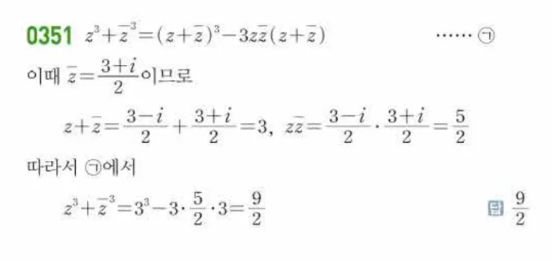
- 해설 이미지
- 외워두면 좋은 꿀팁 패턴
- 흔한 실수 경고
- 내신·수능 목표 풀이 시간
- 관련 개념 & 연산 워크시트 링크
🎬 풀이 영상
영상으로 흐름을 먼저 파악하고, 아래 풀이와 함께 복습하면 효과 2배! 💪
🔍 문제 분석 & 핵심 단서
[문제 요약]
z=(3−i)/2일 때, z³+z̄³의 값을 구하는 문제 (z̄는 z의 켤레복소수)
z=(3−i)/2일 때, z³+z̄³의 값을 구하는 문제 (z̄는 z의 켤레복소수)
🔑 이 문제의 핵심 단서는 바로 이것!
z³+z̄³을 직접 계산하지 마세요! a³+b³=(a+b)³−3ab(a+b) 항등식을 사용하면 z+z̄와 zz̄만으로 계산 가능!
✏️ 단계별 풀이 설명
1
z+z̄, zz̄ 구하기
z=(3−i)/2이므로 z̄=(3+i)/2
z+z̄ = 3
zz̄ = (3−i)(3+i)/4 = (9+1)/4 = 5/2
z=(3−i)/2이므로 z̄=(3+i)/2
z+z̄ = 3
zz̄ = (3−i)(3+i)/4 = (9+1)/4 = 5/2
2
항등식 적용
z³+z̄³ = (z+z̄)³ − 3zz̄(z+z̄)
= 3³ − 3·(5/2)·3
= 27 − 45/2
z³+z̄³ = (z+z̄)³ − 3zz̄(z+z̄)
= 3³ − 3·(5/2)·3
= 27 − 45/2
3
계산 완성
= 54/2 − 45/2 = 9/2
= 54/2 − 45/2 = 9/2
정답: 9/2
💡 외워두면 좋은 꿀팁 패턴
🌟 이 유형의 황금 패턴
켤레복소수 거듭제곱의 황금 공식:
• z+z̄ = 2×(실수부분)
• zz̄ = |z|² = (실수부분)²+(허수부분)²
• a³+b³ = (a+b)³−3ab(a+b)
이 세 가지를 조합하면 직접 계산 없이 답이 나와요!
⚠️ 이것만 조심하세요!
z³+z̄³을 직접 계산하려다 복잡해지는 실수가 가장 많아요! 또한 zz̄=5/2를 구할 때 분모 4를 빼먹는 실수도 주의하세요.
⏱️ 목표 풀이 시간
처음엔 시간 제한 없이 완전 이해 우선! 반복으로 시간을 줄여가세요.
🏫 내신 시험
3~4분
정확한 계산이 우선
📝 수능 시험
2분
패턴 숙달 후 도전
⚡ 시간 줄이는 법: z+z̄=2a, zz̄=a²+b²을 먼저 구하는 것이 시간을 줄이는 핵심! a³+b³ 항등식은 반드시 외워두세요.
🖼️ 해설 이미지
✍️ 연산 워크시트 (기초 다지기)
📚 관련 개념 포스트
🎯 마플시너지 추천 문제
같은 유형의 마플시너지 문제로 실력을 한 단계 올려보세요!
🗺️ 추천 학습 순서
✍️ 연산 워크시트
→
📖 개념 포스트
→
🎯 마플시너지
기초부터 탄탄히 쌓아야 실전이 보입니다! 🚀