B단계 유형 🔥 상
📘 0335번 — 복소수의 사칙연산 — z₁z₂의 실수·허수부분
🔥 복합 연산 문제! z₁, z₂를 각각 구한 뒤 곱하고, 실수·허수부분을 분리해야 해요. 단계별로 차근차근! 💪
📋 이 포스팅에 포함된 것들
- 문제 분석 & 핵심 단서 찾기
- 단계별 친절한 풀이 설명
- 풀이 영상 (유튜브)
- 해설 이미지
- 외워두면 좋은 꿀팁 패턴
- 흔한 실수 경고
- 내신·수능 목표 풀이 시간
- 관련 개념 & 연산 워크시트 링크
🎬 풀이 영상
영상으로 흐름을 먼저 파악하고, 아래 풀이와 함께 복습하면 효과 2배! 💪
🔍 문제 분석 & 핵심 단서
[문제 요약]
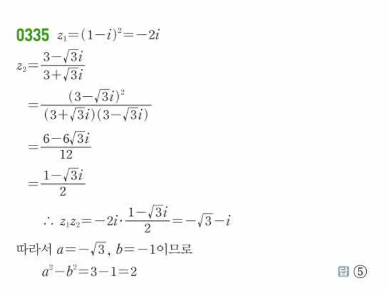
z₁=(1−i)², z₂=(3−√3i)/(3+√3i)일 때, z₁z₂의 실수부분 a와 허수부분 b에 대해 a²−b²의 값을 구하는 문제
z₁=(1−i)², z₂=(3−√3i)/(3+√3i)일 때, z₁z₂의 실수부분 a와 허수부분 b에 대해 a²−b²의 값을 구하는 문제
🔑 이 문제의 핵심 단서는 바로 이것!
z₁과 z₂를 각각 먼저 계산하는 것이 핵심! z₁은 전개, z₂는 분모 유리화로 구한 후 곱셈하세요.
✏️ 단계별 풀이 설명
1
z₁ 계산
z₁ = (1−i)² = 1−2i+i² = 1−2i+(−1) = −2i
z₁ = (1−i)² = 1−2i+i² = 1−2i+(−1) = −2i
2
z₂ 분모 유리화
z₂ = (3−√3i)/(3+√3i)
분모·분자에 (3−√3i)를 곱하면
분모: (3+√3i)(3−√3i) = 9+3 = 12
분자: (3−√3i)² = 9−6√3i+3i² = 9−6√3i−3 = 6−6√3i
z₂ = (3−√3i)/(3+√3i)
분모·분자에 (3−√3i)를 곱하면
분모: (3+√3i)(3−√3i) = 9+3 = 12
분자: (3−√3i)² = 9−6√3i+3i² = 9−6√3i−3 = 6−6√3i
3
z₂ 정리
z₂ = (6−6√3i)/12 = (1−√3i)/2
z₂ = (6−6√3i)/12 = (1−√3i)/2
4
z₁z₂ 곱셈
z₁z₂ = (−2i)·(1−√3i)/2 = −i·(1−√3i)
= −i+√3i² = −i+√3·(−1)
= −√3−i
z₁z₂ = (−2i)·(1−√3i)/2 = −i·(1−√3i)
= −i+√3i² = −i+√3·(−1)
= −√3−i
5
실수·허수부분 분리
a = −√3, b = −1
a² − b² = (−√3)² − (−1)² = 3−1 = 2
a = −√3, b = −1
a² − b² = (−√3)² − (−1)² = 3−1 = 2
정답: ⑤
💡 외워두면 좋은 꿀팁 패턴
🌟 이 유형의 황금 패턴
복소수 연산 종합 문제 풀이 순서: ① 각 복소수를 a+bi 꼴로 정리 → ② 곱셈/나눗셈 실행 → ③ 실수부분·허수부분 분리. 항상 이 순서를 따르세요!
⚠️ 이것만 조심하세요!
z₂의 분모 유리화에서 (3+√3i)(3−√3i)=12임을 놓치거나, z₁z₂ 곱에서 i²=−1 처리를 빠뜨리는 실수가 많아요!
⏱️ 목표 풀이 시간
처음엔 시간 제한 없이 완전 이해 우선! 반복으로 시간을 줄여가세요.
🏫 내신 시험
4~5분
정확한 계산이 우선
📝 수능 시험
3~4분
패턴 숙달 후 도전
⚡ 시간 줄이는 법: z₁, z₂ 각각을 먼저 간단히 만드는 것이 시간을 줄이는 핵심! 특히 (1−i)²=−2i는 자주 나오는 결과이니 외워두면 좋아요.
🖼️ 해설 이미지
✍️ 연산 워크시트 (기초 다지기)
📚 관련 개념 포스트
🎯 마플시너지 추천 문제
상 난이도 전, 마플시너지로 중간 단계를 완성하세요!
🗺️ 추천 학습 순서
✍️ 연산 워크시트
→
📖 개념 포스트
→
🎯 마플시너지
기초부터 탄탄히 쌓아야 실전이 보입니다! 🚀