쎈공통수학1 0243번|x+2y-z=0 조건에서 z=x+2y 대입으로 x²+2xy+z² 인수분해 2z(x+y) 풀이해설

쎈 공통수학1 0243번 조건부 인수분해 — z=x+2y 대입 | 인수분해 풀이
쎈 공통수학1 · 2단원 · 조건부 인수분해

📘 0243번 — 조건부 인수분해 — z=x+2y 대입

난이도: ⭐⭐⭐ 중  |  핵심 개념: 조건부 인수분해, 조건 대입

📋 이 포스팅에 포함된 것들

  • 문제 분석 & 핵심 단서 찾기
  • 단계별 친절한 풀이 설명
  • 풀이 영상 (유튜브)
  • 해설 이미지
  • 외워두면 좋은 꿀팁 패턴
  • 흔한 실수 경고
  • 내신·수능 목표 풀이 시간
  • 관련 개념 & 연산 워크시트 링크
🎬 풀이 영상

영상을 먼저 보고, 아래 풀이 설명과 함께 복습하면 효과가 2배예요! 😊

🔍 문제 분석 & 핵심 단서
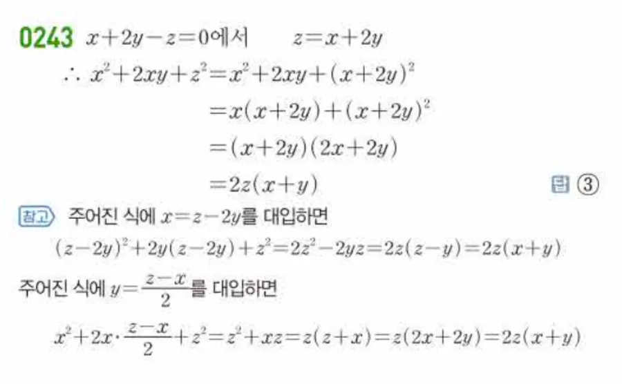
[문제 요약]
x+2y−z=0일 때, x²+2xy+z²과 같은 것을 고르는 문제
🔑 이 문제의 핵심 단서는 바로 이것!

x+2y−z=0 → z=x+2y. 이것을 식에 대입! z²=(x+2y)²으로 치환해서 전개 후 인수분해

✏️ 단계별 풀이 설명
1
조건에서 z 표현
x+2y−z=0 → z=x+2y
2
z²=( x+2y)² 대입 & 전개
x²+2xy+z²
= x²+2xy+(x+2y)²
= x²+2xy+x²+4xy+4y²
= 2x²+6xy+4y²
3
공통인수 추출 & 인수분해
= 2(x²+3xy+2y²)
= 2(x+y)(x+2y)
4
z로 역치환
x+2y = z
= 2(x+y)·z = 2z(x+y) → 정답 ③
정답: ③ 2z(x+y)
💡 외워두면 좋은 꿀팁 패턴
🌟 이 유형의 황금 패턴

조건식 있는 식의 변환: 조건에서 문자 하나를 다른 문자로 표현 → 대입 → 전개 → 인수분해 → 조건식으로 역치환

⚠️ 이것만 조심하세요!

z=x+2y를 대입하는 방향을 잘못 설정하거나, 전개 후 인수분해 과정에서 공통인수를 놓치는 실수

⏱️ 목표 풀이 시간

시험장에서 이 문제를 만났을 때 아래 시간 안에 풀 수 있도록 연습하세요!

🏫 내신 시험
2~3분
계산 검토 시간 포함
📝 수능 시험
1~2분
패턴 암기로 시간 단축!
시간 줄이는 법: 조건식이 있으면 ‘대입할 문자 정하기’가 1초 결정! 식에 가장 많이 등장하는 문자를 조건으로 표현해 대입하면 빠릅니다.
🖼️ 해설 이미지
쎈 공통수학1 0243번 해설
이미지를 불러오는 중입니다…
🎯 마플시너지 추천 문제

같은 개념을 다른 각도로 연습하고 싶다면 아래 마플시너지 포스트를 추천해요!

🗺️ 추천 학습 순서
✍️ 연산 워크시트
📖 개념 포스트
🎯 마플시너지

연산으로 기초 계산에 익숙해진 후 → 개념 포스트로 원리를 이해하고 → 마플시너지로 심화 문제에 도전하세요! 🚀

댓글 남기기