쎈공통수학1답지61번공통공식 변형 x² + y² | x – y = 2, x² + y² = 3일 때 x² – y²의 값 구하기

쎈 공통수학1 0061번 풀이 | x−y=2, x²+y²=3일 때 x³−y³ 구하기 | 쎈수학 답지

쎈 공통수학1 0061번 풀이

x−y=2, x²+y²=3일 때, x³−y³의 값 구하기

유형 05 · 곱셈 공식의 변형 ; x²+y², x³+y³의 값 난이도 ⭐중 📘 대표 문제

📋 이 포스팅에 포함된 내용

  • 풀이 영상 (동영상 해설)
  • 문제 분석 및 단서 찾기
  • 단계별 상세 풀이
  • 해설 이미지 (쎈 공통수학1 답지)
  • 꿀팁: 외워두면 좋은 패턴
  • 흔한 실수 & 주의사항
  • 시간 관리 전략
  • 관련개념정리포스트(개념정리와 이론정리영상) 및
    연산문제추천링크(고품질 연산문제 pdf 엄선하여 무료제공)

🎬 풀이 영상

곱셈공식 변형의 기본 중 기본! 영상으로 먼저 전체 흐름을 잡으세요.

🔍 문제 분석 — 단서 찾기

[문제 요약]
x − y = 2, x² + y² = 3일 때, x³ − y³의 값은?

🔑 핵심 단서 포인트

1 조건: x−y와 x²+y²가 주어졌다! — 이 두 값에서 xy를 구할 수 있어요. x²+y² = (x−y)² + 2xy 공식 활용!
2 구하는 것: x³−y³ — 이건 인수분해하면 (x−y)(x²+xy+y²)이에요. 이미 x−y를 알고, x²+y²도 알고, xy만 구하면 바로 계산 가능!
3 “xy 먼저 구하기 → 대입” 2단계 전략! — 곱셈공식 변형 문제의 정석적인 풀이 흐름이에요.

📝 단계별 상세 풀이

Step 1. xy 구하기

곱셈공식 변형 x²+y² = (x−y)² + 2xy를 이용해요:

3 = 2² + 2xy
3 = 4 + 2xy
2xy = −1
xy = −1/2

Step 2. x³−y³ 공식 적용

세제곱 차 공식: x³ − y³ = (x−y)(x² + xy + y²)

여기서 x−y = 2, x²+y² = 3, xy = −1/2이므로:

x² + xy + y² = (x²+y²) + xy = 3 + (−1/2) = 5/2

Step 3. 최종 계산

x³ − y³ = (x−y)(x² + xy + y²) = 2 × 5/2 = 5
✨ 정답: ⑤ 5

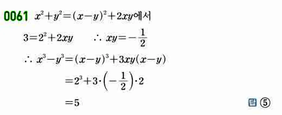
📸 해설 이미지 (쎈 공통수학1 답지)

아래 이미지에서 0061번 풀이를 직접 확인해 보세요.

쎈 공통수학1 0061번 해설 이미지 답지

🍯 꿀팁 & 외워두면 좋은 패턴

🔥 곱셈공식 변형 — 반드시 외워야 할 3가지

x² + y² = (x+y)² − 2xy = (x−y)² + 2xy

x³ + y³ = (x+y)³ − 3xy(x+y)

x³ − y³ = (x−y)³ + 3xy(x−y)


🔥 또는 인수분해 형태:

x³ − y³ = (x−y)(x² + xy + y²)

x³ + y³ = (x+y)(x² − xy + y²)

이 유형의 풀이 흐름 — 항상 이 순서!

① 주어진 조건으로 xy 구하기 (x²+y² 공식 활용)

② 구하려는 식을 공식으로 표현 (x³−y³, x³+y³ 등)

③ 알고 있는 값 대입하여 계산


🔥 핵심은 “xy를 먼저 구한다!”예요. xy만 구하면 나머지는 대입뿐!

x³−y³의 두 가지 접근법

방법 1 (이 풀이): x³−y³ = (x−y)(x²+xy+y²) 인수분해

방법 2: x³−y³ = (x−y)³ + 3xy(x−y) = 8 + 3·(−1/2)·2 = 8−3 = 5

두 방법 모두 같은 답! 편한 방법으로 풀면 돼요.

⚠️ 흔한 실수 & 주의사항

실수 1: x²+y² = (x−y)²로 잘못 사용

x²+y² = (x−y)² + 2xy예요! +2xy를 빼먹으면 xy를 구할 수 없어요.

실수 2: x³−y³ 공식에서 중간항 부호 혼동

x³ − y³ = (x−y)(x² + xy + y²) — 뺄셈인데 안쪽은 +xy예요!

x³ + y³ = (x+y)(x² xy + y²) — 덧셈인데 안쪽은 −xy예요!

바깥 부호와 안쪽 xy의 부호가 반대라는 것을 꼭 기억하세요!

실수 3: xy = −1/2를 대입할 때 부호 실수

x²+xy+y² = 3 + (−1/2) = 5/2인데, 부호를 잘못 넣어 3 + 1/2 = 7/2로 계산하면 답이 7이 되어 틀려요!

⏱️ 시간 관리 전략

목표 풀이 시간

내신 시험: 2~3분

수능/모의고사: 1~2분 (공식이 익숙하면 즉시!)

시간을 줄이려면?

1 곱셈공식 변형 3가지 완벽 암기: 공식을 떠올리는 데 시간을 쓰면 안 돼요. 반사적으로 나와야 해요!
2 “xy 먼저 구한다” 습관화: 이 유형을 보자마자 “xy부터!” 라는 생각이 자동으로 들어야 해요.
3 분수 계산 연습: xy = −1/2 같은 분수가 나와도 빠르게 처리할 수 있도록!

💪 곱셈공식 변형은 고등수학에서 가장 많이 쓰이는 도구 중 하나!
“xy 먼저 구하기 → 공식에 대입” 이 흐름만 익히면 이 유형은 완벽! 화이팅! 🎯

댓글 남기기