쎈 공통수학1 0055번 풀이
(x−√2)³(x+√2)³ 전개식에서 x²의 계수
유형 03 · 곱셈공식을 이용한 전개 난이도 ⭐중📋 이 포스팅에 포함된 내용
- 풀이 영상 (동영상 해설)
- 해설 이미지 (쎈 공통수학1 답지)
- 문제 분석 및 단서 찾기
- 단계별 상세 풀이
- 꿀팁: 외워두면 좋은 패턴
- 흔한 실수 & 주의사항
- 시간 관리 전략
- 관련 개념 및 추천 링크
🎬 풀이 영상
합차공식과 세제곱 공식을 조합하는 핵심 테크닉! 영상으로 먼저 확인하세요.
🔍 문제 분석 — 단서 찾기
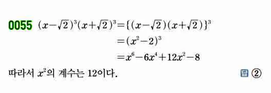
다항식 (x−√2)³(x+√2)³의 전개식에서 x²의 계수를 구하시오.
🔑 핵심 단서 포인트
📝 단계별 상세 풀이
Step 1. 지수법칙으로 괄호 묶기
Aⁿ · Bⁿ = (AB)ⁿ을 이용하여:
Step 2. 합차공식 적용
안쪽 (x−√2)(x+√2)에 합차공식을 적용하면:
따라서 식은:
Step 3. 세제곱 공식으로 전개
(a−b)³ = a³ − 3a²b + 3ab² − b³에서 a = x², b = 2를 대입:
= x⁶ − 6x⁴ + 12x² − 8
Step 4. x²의 계수 읽기
📸 해설 이미지 (쎈 공통수학1 답지)
아래 이미지에서 0055번 풀이를 직접 확인해 보세요.
🍯 꿀팁 & 외워두면 좋은 패턴
(A−B)ⁿ(A+B)ⁿ = (A²−B²)ⁿ 먼저 묶기!
(x−a)ⁿ(x+a)ⁿ 형태가 보이면:
→ 먼저 {(x−a)(x+a)}ⁿ = (x²−a²)ⁿ으로 변환!
→ 그다음 (x²−a²)ⁿ을 전개
🔥 핵심: 직접 6차식을 전개하는 것보다, 먼저 합차공식으로 간단히 만들고 나서 세제곱을 전개하는 것이 훨씬 빠르고 쉬워요!
(x²−a)³ 전개 결과 — 외워두면 좋아요!
(x²−a)³ = x⁶ − 3ax⁴ + 3a²x² − a³
이 문제에서 a = 2이므로:
x⁶ − 6x⁴ + 12x² − 8
계수 패턴: 1, −3a, 3a², −a³ → 1, −6, 12, −8
무리수(√2)가 나와도 당황하지 마세요!
합차공식 (x−√2)(x+√2) = x²−2를 적용하면 √2가 사라져요.
이런 문제에서 무리수는 “합차공식을 먼저 쓰라”는 힌트예요!
⚠️ 흔한 실수 & 주의사항
실수 1: 각각 세제곱을 먼저 전개하려는 시도
(x−√2)³을 먼저 전개하고 (x+√2)³을 전개한 뒤 곱하면… 엄청나게 복잡해져요! 반드시 먼저 묶어서 합차공식을 적용하세요.
실수 2: (√2)² = √2로 잘못 계산
(√2)² = 2예요, √2가 아니에요! 제곱하면 루트가 벗겨진다는 것을 꼭 기억하세요.
실수 3: (x²−2)³에서 b = 2인데 b² = 2로 계산
b = 2이면 b² = 4이고, b³ = 8이에요. 3ab² = 3 · x² · 4 = 12x²이 맞아요.
⏱️ 시간 관리 전략
목표 풀이 시간
내신 시험: 2~3분
수능/모의고사: 1~2분 (묶기 + 전개가 익숙하면 빠르게!)
시간을 줄이려면?
📚 더 공부하기 — 추천 순서
📝 연산 워크시트 (기초 다지기)
공통수학1 연산 05. 곱셈 공식 (1) 공통수학1 연산 06. 곱셈 공식 (2) 공통수학1 연산 07. 곱셈 공식의 변형 공통수학1 연산 03. 다항식의 곱셈 (1)📖 관련 개념 포스트
개념사전 008. 곱셈공식 정리 개념사전 009. 곱셈공식의 변형 활용 개념사전 005. 지수의 법칙 개념사전 006. 식 전개하기 개념사전 007. 다항식 곱셈의 연산법칙🚀 마플시너지 공통수학1 (심화 도전)
마플시너지 0073번 | 다항식 곱셈 완벽정리 마플시너지 0058번 | 항등식 특수값 대입 빠른풀이 마플시너지 097번 | 항등식 계수비교 마플시너지 098번 | 부정계수법 다항식나눗셈
💪 “(A−B)ⁿ(A+B)ⁿ → (A²−B²)ⁿ으로 묶기”
이 테크닉 하나면 복잡해 보이는 문제도 순식간에 깔끔해져요! 화이팅! 🎯