쎈공통수학1답지46번다항식의 전개 | 전개식에서 특정 차수의 계수 구하기

쎈 공통수학1 답지 0046번 – 다항식 전개식에서 계수 구하기 완벽 해설

📚 쎈 공통수학1 답지 0046번 – 다항식 전개식에서 계수 구하기 완벽 해설

✨ 이 포스팅에 담긴 내용

  • ✅ 쎈 공통수학1 0046번 문제 해설 이미지
  • 🎥 문제 풀이 동영상 (유튜브)
  • 📝 단계별 자세한 풀이 과정
  • 💡 핵심 개념과 실수 방지 팁
  • ⏱️ 시험 시간 관리 전략
  • 🔗 관련 개념 학습 링크

📌 문제 분석

[쎈 공통수학1 0046번 문제 요약]

다항식 곱셈의 전개식에서 특정 항의 계수를 구하는 문제입니다.

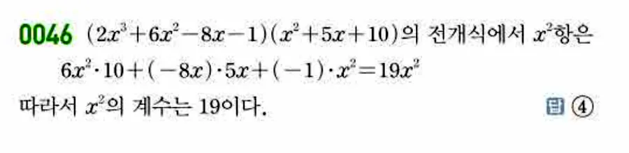
  • 주어진 식: (2x² + 6x² – 8x – 1)(x² + 5x + 10)
  • 이 식을 전개했을 때 x²의 계수를 구하시오

💡 핵심 포인트

전개식 전체를 구하지 않고, x²항만 찾는 효율적인 방법!

x²이 나오는 경우만 찾아서 계수를 더하면 됩니다.

이 방법을 익히면 시간을 크게 절약할 수 있어요!

📖 해설 이미지

쎈 공통수학1 0046번 해설

🎥 풀이 동영상

📝 단계별 풀이

STEP 1: 문제 전략 세우기

주어진 식: (2x² + 6x² – 8x – 1)(x² + 5x + 10)

구하는 것: 전개식에서 x²의 계수

두 가지 방법:

  • 방법 1: 전체를 다 전개한 후 x²항을 찾기 (비효율적)
  • 방법 2: x²이 나오는 경우만 찾아서 더하기 (효율적 ⭐)

여기서는 방법 2를 사용하겠습니다!

🎯 문제 해결 단서 찾기

이 문제의 핵심 단서는 “x²의 계수만 구하면 된다”는 것입니다.

x²이 나오는 경우를 생각해봅시다:

  • 경우 1: (첫 번째 다항식의 상수항) × (두 번째 다항식의 x²항)
  • 경우 2: (첫 번째 다항식의 x항) × (두 번째 다항식의 x항)
  • 경우 3: (첫 번째 다항식의 x²항) × (두 번째 다항식의 상수항)

이 세 경우만 찾으면 됩니다!

STEP 2: 먼저 첫 번째 다항식 정리하기

첫 번째 다항식을 보면:

2x² + 6x² – 8x – 1

x²항이 두 개 있으므로 먼저 정리합니다:

2x² + 6x² = 8x²

따라서 첫 번째 다항식은:

8x² – 8x – 1

STEP 3: x²이 나오는 경우 찾기

첫 번째 다항식: 8x² – 8x – 1

두 번째 다항식: x² + 5x + 10

x²이 나오는 세 가지 경우를 찾아봅시다:

경우 1: 상수항 × x²항

(-1) × x² = -x²

→ x²의 계수: -1

경우 2: x항 × x항

(-8x) × 5x = -40x²

→ x²의 계수: -40

경우 3: x²항 × 상수항

8x² × 10 = 80x²

→ x²의 계수: 80

⚠️ 이 문제에서 학생들이 가장 어려워하는 부분

“어떤 항끼리 곱해야 x²이 나오는지 모르겠다!”

  • 차수의 법칙:
    • x^a × x^b = x^(a+b)
    • x²을 만들려면 a + b = 2이어야 함
  • 가능한 조합:
    • 0 + 2 = 2 → 상수 × x²
    • 1 + 1 = 2 → x × x
    • 2 + 0 = 2 → x² × 상수
  • 더 높은 차수는 불가능:
    • x² × x² = x⁴ (x²이 아님!)
    • x² × x = x³ (x²이 아님!)

차수를 더해서 2가 되는 조합만 찾으세요!

STEP 4: 계수 모두 더하기

찾은 세 경우의 계수를 모두 더합니다:

경우 곱셈 x²의 계수
경우 1 (-1) × x² -1
경우 2 (-8x) × 5x -40
경우 3 8x² × 10 80
합계 -1 – 40 + 80 = 39
최종 답: x²의 계수 = 39

🎯 외워두면 좋은 패턴

📌 특정 항의 계수 구하기 패턴

  1. 목표 차수 정하기
    • x²의 계수를 구하라 → 목표 차수는 2
  2. 차수 조합 찾기
    • a + b = (목표 차수)가 되는 모든 조합
    • x²의 경우: (0,2), (1,1), (2,0)
  3. 각 조합의 계수 곱하기
    • 첫 번째 다항식의 x^a항 계수 × 두 번째 다항식의 x^b항 계수
  4. 모든 경우의 계수 더하기
    • 부호를 정확히 지켜서 더하기

💡 다른 차수의 계수 구하기

같은 방법으로 다른 차수도 구할 수 있어요:

  • x³의 계수:
    • (0,3): 상수 × x³
    • (1,2): x × x²
    • (2,1): x² × x
    • (3,0): x³ × 상수
  • x의 계수:
    • (0,1): 상수 × x
    • (1,0): x × 상수
  • 상수항:
    • (0,0): 상수 × 상수

⏱️ 시험 시간 관리

⏰ 이 문제를 풀어야 하는 시간

시험 유형 목표 시간 난이도
내신 시험 (학교 시험) 2~3분 중하
수능 모의고사 1.5~2분 중하

⚡ 시간을 줄이려면?

  • 첫 번째 다항식 먼저 정리: 2x² + 6x² = 8x²를 바로 계산
  • 조합 빠르게 찾기: (0,2), (1,1), (2,0) 암기
  • 표 그려서 정리: 각 경우를 표로 만들어 실수 방지
  • 검산 생략 가능: 기본 문제이므로 정확히 풀면 OK

💡 실전 팁

전개하지 말고 필요한 항만 찾기!

  • 전체를 다 전개하면 시간 낭비 (4분 이상 소요)
  • 필요한 항만 찾으면 1~2분이면 충분
  • 이 방법은 선택지 문제에서 특히 유용

🔗 관련 개념 포스팅

💪 최종 정리

✅ 꼭 기억하세요!

  • 첫 다항식 정리: 2x² + 6x² = 8x²
  • x² 만드는 조합: (상수×x²) + (x×x) + (x²×상수)
  • 각 경우의 계수: -1, -40, 80
  • 최종 답: -1 – 40 + 80 = 39
  • 핵심 전략: 전체 전개 대신 필요한 항만 찾기
  • 목표 시간: 내신 2~3분, 수능 1.5~2분

🌟 선생님의 한마디

이 문제는 다항식 전개에서 특정 항의 계수를 구하는 문제입니다. 전체를 다 전개하면 시간이 오래 걸리지만, 필요한 항만 찾으면 빠르게 풀 수 있어요!

차수의 법칙을 이해하는 것이 핵심입니다. x²을 만들려면 두 항의 차수를 더해서 2가 되어야 합니다. 그래서 (0,2), (1,1), (2,0) 세 가지 경우만 찾으면 돼요.

이 방법은 나중에 이항정리다항정리에서도 똑같이 사용됩니다. 지금 확실히 익혀두면 고2, 고3에서 큰 도움이 될 거예요! 💪


이 포스팅이 도움이 되셨다면 다른 문제 풀이도 확인해보세요!
궁금한 점은 댓글로 남겨주시면 친절하게 답변드리겠습니다. 😊

댓글 남기기