쎈공통수학1답지43번세 다항식의 덧셈 | 주어진 세 식을 모두 더해 A + B + C 구하기

쎈 공통수학1 답지 0043번 – 세 다항식의 덧셈 완벽 해설

📚 쎈 공통수학1 답지 0043번 – 세 다항식의 덧셈 완벽 해설

✨ 이 포스팅에 담긴 내용

  • ✅ 쎈 공통수학1 0043번 문제 해설 이미지
  • 🎥 문제 풀이 동영상 (유튜브)
  • 📝 단계별 자세한 풀이 과정
  • 💡 핵심 개념과 실수 방지 팁
  • ⏱️ 시험 시간 관리 전략
  • 🔗 관련 개념 학습 링크

📌 문제 분석

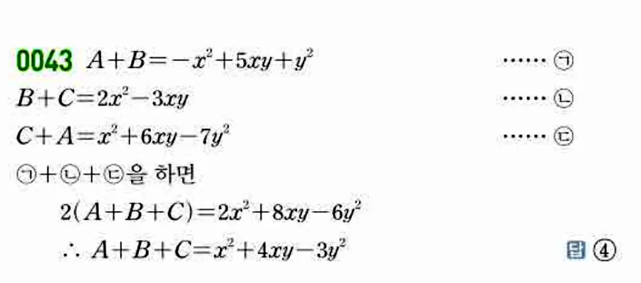
[쎈 공통수학1 0043번 문제 요약]

세 다항식 A, B, C가 주어졌을 때, A + B + C를 계산하는 문제입니다.

  • A = -x² – 5xy + y²
  • B + C = -2x² – 3xy
  • C + A = x² + 6xy – 7y²
  • 구하는 것: A + B + C

💡 핵심 포인트

조건식을 이용한 간접 계산 문제!

A, B, C를 각각 구하지 않고, 주어진 조건식들을 더해서 A + B + C를 구합니다.

이것이 핵심 아이디어입니다!

📖 해설 이미지

쎈 공통수학1 0043번 해설

🎥 풀이 동영상

📝 단계별 풀이

STEP 1: 핵심 아이디어 파악하기

주어진 조건:

  • 조건 ①: A = -x² – 5xy + y²
  • 조건 ②: B + C = -2x² – 3xy
  • 조건 ③: C + A = x² + 6xy – 7y²

구하려는 것은 A + B + C입니다.

핵심 아이디어: 조건 ①과 조건 ②를 더하면?

A + (B + C) = A + B + C

바로 우리가 구하려는 값이 나옵니다!

🎯 문제 해결 단서 찾기

이 문제의 핵심 단서는 “B + C가 한꺼번에 주어진다”는 것입니다.

왜 문제에서 B와 C를 따로 주지 않고 B + C를 줬을까요?

→ A와 (B + C)를 더하면 바로 답이 나오기 때문입니다!

이런 문제에서는:

  • 각 문자를 따로 구하려 하지 말고
  • 주어진 조건식들을 잘 조합하여
  • 구하려는 값을 직접 만들어내세요!

※ 조건 ③ (C + A)은 이 문제를 푸는 데 사용하지 않습니다. 혼란을 주기 위한 불필요한 정보입니다!

STEP 2: 조건식 더하기

조건 ①: A = -x² – 5xy + y²

조건 ②: B + C = -2x² – 3xy

이 두 식을 더하면:

A + (B + C) = (-x² – 5xy + y²) + (-2x² – 3xy)
A + B + C = -x² – 5xy + y² – 2x² – 3xy

STEP 3: 동류항끼리 정리하기

같은 종류의 항끼리 모아서 정리합니다:

항의 종류 계산 과정 결과
x²항 -x² – 2x² -3x²
xy항 -5xy – 3xy -8xy
y²항
최종 답: -3x² – 8xy + y²

⚠️ 이 문제에서 학생들이 가장 어려워하는 부분

“조건 ③을 어떻게 써야 하나?”라고 고민하는 것!

  • 조건 ③은 사용하지 않습니다!
    • C + A = x² + 6xy – 7y²는 혼란을 주기 위한 정보
    • 이미 조건 ①과 ②만으로 답을 구할 수 있음
  • 불필요한 정보에 현혹되지 마세요:
    • 시험에서는 이렇게 불필요한 조건을 주기도 함
    • 필요한 조건만 선택해서 사용하는 능력이 중요
  • 만약 조건 ③을 사용하려면?
    • A, B, C를 각각 구해야 하는데
    • 그럴 필요 없이 조건 ①+②로 바로 답이 나옴

문제를 풀 때는 가장 간단한 방법을 찾으세요!

🎯 외워두면 좋은 패턴

📌 조건식 이용 문제 패턴

  1. 구하려는 것을 먼저 파악
    • A + B + C를 구하라면
    • 이것과 같은 형태를 조건에서 찾음
  2. 조건식들을 조합
    • A와 B + C가 주어지면 → 더하면 A + B + C
    • A – B와 2B가 주어지면 → 더하면 A + B
  3. 불필요한 조건 구분
    • 모든 조건을 다 써야 하는 건 아님
    • 필요한 조건만 선택적으로 사용
  4. 간단한 방법 우선
    • A, B, C를 각각 구하는 것보다
    • 조건을 조합해서 바로 구하는 게 빠름

💡 비슷한 문제 유형

이런 패턴의 문제들을 만나면 같은 방법을 사용하세요:

  • 예제 1: A와 B – C가 주어지고 A – B + C를 구하라
    • → A – (B – C) = A – B + C
  • 예제 2: A + B와 B + C가 주어지고 A + 2B + C를 구하라
    • → (A + B) + (B + C) = A + 2B + C
  • 예제 3: 2A – B와 A + B가 주어지고 3A를 구하라
    • → (2A – B) + (A + B) = 3A

⏱️ 시험 시간 관리

⏰ 이 문제를 풀어야 하는 시간

시험 유형 목표 시간 난이도
내신 시험 (학교 시험) 2~3분 중하
수능 모의고사 1.5~2분 중하

⚡ 시간을 줄이려면?

  • 핵심 아이디어 빠르게 파악: A + (B + C) = A + B + C를 바로 떠올리기
  • 조건 ③ 무시: 필요 없는 조건에 시간 낭비하지 않기
  • 동류항 정리 암산: -x² – 2x² = -3x²를 빠르게
  • 검산은 항의 개수: x²항, xy항, y²항 3개만 있으면 OK

💡 실전 팁

문제를 읽고 10초 안에 전략 세우기!

  • “A + B + C를 구하라” → A와 B+C를 찾자!
  • 조건 ①: A 발견!
  • 조건 ②: B+C 발견!
  • 조건 ③: 필요 없음
  • 바로 더하기 → 동류항 정리 → 끝!

이렇게 전략을 빠르게 세우면 1분 30초 안에 풀 수 있습니다!

🔗 관련 개념 포스팅

💪 최종 정리

✅ 꼭 기억하세요!

  • 핵심 아이디어: A + (B + C) = A + B + C
  • 조건 선택: 조건 ①과 ②만 사용, 조건 ③은 불필요
  • 간단한 방법: A, B, C를 각각 구하지 말고 바로 더하기
  • 동류항 정리: x²항, xy항, y²항 순서대로
  • 빠른 전략: 문제 읽고 10초 안에 어떤 조건을 쓸지 결정
  • 목표 시간: 내신 2~3분, 수능 1.5~2분

🌟 선생님의 한마디

이 문제는 조건을 활용하는 간접 계산의 대표적인 예입니다. 복잡해 보이지만 핵심을 파악하면 아주 쉬워요!

많은 학생들이 조건 ③을 어떻게 써야 할지 고민하는데, 사실 쓰지 않아도 됩니다. 시험에서는 이렇게 불필요한 정보를 주기도 하니, 필요한 것만 선택하는 능력이 중요합니다.

또한 “A + B + C를 구하라”고 하면 각각 A, B, C를 구해서 더하려고 하는데, 조건식을 잘 조합하면 바로 답이 나옵니다. 이런 센스를 기르면 시험 시간을 크게 절약할 수 있어요! 💪


이 포스팅이 도움이 되셨다면 다른 문제 풀이도 확인해보세요!
궁금한 점은 댓글로 남겨주시면 친절하게 답변드리겠습니다. 😊

댓글 남기기