마플시너지 공통수학1 답지 & 해설 (1111번 ~ 1140번) – 고화질 보기

마플 시너지 공통수학1 빠른 정답
마플시너지 공통수학1 답지 PDF 다운로드 (2026년 대비 최신판)

안녕하세요. 20년 차 수학 큐레이터입니다. 고등학교 첫 수학, 많이 당황스러우시죠? 특히 2022 개정 교육과정이 적용되면서 '행렬'이 부활하는 등 변화가 생겨, 어떤 교재로 어떻게 공부해야 할지 고민이 깊으실 겁니다.

많은 학생들이 선택하는 '마플시너지'는 방대한 문항 수와 촘촘한 유형 분류로 내신 대비의 바이블이라 불립니다. 하지만, 그만큼 모르는 문제가 나왔을 때 해설 없이는 진도를 나가기 힘든 책이기도 하죠. 오늘 제가 답지 자료와 함께 이 책을 200% 활용하는 꿀팁을 전해드리겠습니다.

마플시너지 공통수학1 표지 및 문제집 전경

▲ 마플시너지는 유형별 학습에 최적화된 교재입니다.

1. 공통수학1, 왜 마플시너지인가?

고등 수학의 첫 단추인 '공통수학1'은 중학 수학과는 차원이 다른 논리적 사고를 요구합니다. 단순히 공식을 외우는 것을 넘어, 문제 속에 숨어 있는 조건을 찾아내는 훈련이 필수적입니다. 마플시너지는 내신 빈출 유형부터 수능형 고난도 문항까지 단계별로 정복할 수 있도록 설계되어 있습니다.

많은 학생들이 "답지를 보면 실력이 안 는다"라고 걱정합니다. 하지만 제 생각은 다릅니다. 모르는 문제를 붙잡고 1시간을 끙끙대는 것보다, 해설의 논리 흐름을 5분간 정독하고 내 것으로 만드는 것이 훨씬 효율적입니다. 중요한 건 '베끼는 것'이 아니라 '분석하는 것'이니까요.

공통수학1 다항식 연산 파트 예시

2. 답지 활용의 황금률 (Curator's Tip)

답지를 다운로드하시기 전에, 제가 학생들에게 항상 강조하는 [3단계 오답 분석법]을 먼저 알려드립니다. 이 방법대로라면 답지는 단순한 정답 확인용이 아닌 최고의 선생님이 됩니다.

  • 1단계 (힌트 얻기): 해설지의 첫 줄만 읽습니다. 도입부 아이디어만 얻고 다시 풀어보세요.
  • 2단계 (논리 추적): 중간 과정에서 막혔다면, '왜 여기서 이 공식을 썼을까?'를 고민하며 해설을 따라가세요.
  • 3단계 (백지 복습): 해설을 덮고, 백지에 처음부터 끝까지 내 힘으로 다시 풀어내야 진짜 내 실력이 됩니다.
행렬과 방정식 문제 풀이 노트

3. 등급을 가르는 핵심 단원 체크

이번 공통수학1 과정에서 가장 주의 깊게 봐야 할 부분은 역시 '행렬(Matrix)''순열과 조합'입니다. 특히 행렬은 교육과정에 재진입한 파트라 기출문제가 부족한데, 마플시너지에서는 풍부한 신규 문항을 제공하고 있습니다.

또한, 나머지정리와 인수분해 파트는 고난도 킬러 문항으로 자주 출제되니, 해설지의 '다른 풀이'까지 꼼꼼하게 챙겨 보시는 것을 추천합니다.

주요 수학 공식 요약 정리

4. PDF 다운로드 및 마무리

수학은 엉덩이 싸움이기도 하지만, 결국은 '방향성' 싸움입니다. 올바른 해설을 통해 출제자의 의도를 파악하는 훈련을 반복하세요. 포기하지 않고 꾸준히 풀어나간다면, 복잡해 보이는 수식들 속에서 반드시 정답으로 가는 길을 발견하게 될 것입니다.

여러분의 수학 1등급을 진심으로 응원합니다. 아래 버튼을 통해 자료를 확인하실 수 있습니다.

마플시너지 해설지 표지

📂 마플시너지 공통수학1 정답과 해설

파일 용량이 크므로(약 10MB) 와이파이 환경을 권장합니다.
저작권 보호를 위해 개인 학습 용도로만 사용해주세요.


빠른 답지 PDF 다운로드
📌 참고사항: 파일이 열리지 않을 경우 PDF 뷰어 앱을 설치하시거나, 브라우저를 새로고침 해보세요.

⚡️ 데이터 절약 모드 ON
현재 1111번~1140번 구간입니다.
(누락된 이미지 보완 완료)
채점이 끝나면 하단의 [다음 구간]을 눌러주세요.

📝 이 구간 공부 포인트: 무리식과 무리함수

마플시너지 공통수학1 1111번부터 1140번 구간은 무리함수의 기초를 다지는 단계입니다. 근호 안의 식의 값이 0 이상이어야 한다는 조건에서 정의역을 구하는 것이 가장 중요합니다.

무리함수 $y=a\sqrt{bx+c}+d$의 그래프는 시작점(꼭짓점)과 $a, b$의 부호에 따른 방향(사분면)만 알면 쉽게 그릴 수 있습니다. 그래프 개형을 정확히 파악해야 이후 직선과의 위치 관계나 역함수 문제를 해결할 수 있으니, 꼭 직접 그려보며 연습하시기 바랍니다.

#무리함수 #무리식 #정의역 #치역 #무리함수그래프 #시작점 #방향성 #고1수학 #마플시너지해설
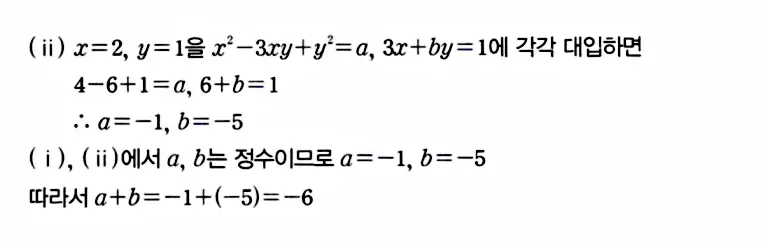
마플시너지 공통수학1 답지 1110번대 마플시너지 공통수학1 답지 해설 마플시너지 공통수학1 답지 해설 마플시너지 공통수학1 답지 해설 마플시너지 공통수학1 답지 해설 마플시너지 공통수학1 답지 해설 마플시너지 공통수학1 답지 해설 마플시너지 공통수학1 답지 해설 마플시너지 공통수학1 답지 해설 마플시너지 공통수학1 답지 1120번대 마플시너지 공통수학1 답지 해설 마플시너지 공통수학1 답지 해설 마플시너지 공통수학1 답지 해설 마플시너지 공통수학1 답지 해설 마플시너지 공통수학1 답지 해설 마플시너지 공통수학1 답지 해설 마플시너지 공통수학1 답지 해설 마플시너지 공통수학1 답지 해설 마플시너지 공통수학1 답지 해설 마플시너지 공통수학1 답지 1130번대 마플시너지 공통수학1 답지 해설 마플시너지 공통수학1 답지 해설 마플시너지 공통수학1 답지 해설 마플시너지 공통수학1 답지 해설 마플시너지 공통수학1 답지 해설 마플시너지 공통수학1 답지 해설 마플시너지 공통수학1 답지 해설 마플시너지 공통수학1 답지 해설 마플시너지 공통수학1 답지 해설 마플시너지 공통수학1 답지 1140번 인근 마플시너지 공통수학1 답지 해설 마플시너지 공통수학1 답지 해설 마플시너지 공통수학1 답지 해설 마플시너지 공통수학1 답지 해설 마플시너지 공통수학1 답지 해설 마플시너지 공통수학1 답지 1140번 끝

댓글 남기기