마플시너지 대수 답지 1601~1650번 | 풀이 해설 이미지 [답지나라]

마플시너지 공통수학1 답지 PDF 다운로드 (2026년 대비 최신판)

마플시너지 공통수학1 답지 PDF & 학습 가이드 (2022 개정 완벽 대비)

안녕하세요. 20년 차 수학 큐레이터입니다. 고등학교 첫 수학, 많이 당황스러우시죠? 특히 2022 개정 교육과정이 적용되면서 ‘행렬’이 부활하는 등 변화가 생겨, 어떤 교재로 어떻게 공부해야 할지 고민이 깊으실 겁니다.

많은 학생들이 선택하는 ‘마플시너지’는 방대한 문항 수와 촘촘한 유형 분류로 내신 대비의 바이블이라 불립니다. 하지만, 그만큼 모르는 문제가 나왔을 때 해설 없이는 진도를 나가기 힘든 책이기도 하죠. 오늘 제가 답지 자료와 함께 이 책을 200% 활용하는 꿀팁을 전해드리겠습니다.

마플시너지 공통수학1 표지 및 문제집 전경

▲ 마플시너지는 유형별 학습에 최적화된 교재입니다.

1. 공통수학1, 왜 마플시너지인가?

고등 수학의 첫 단추인 ‘공통수학1’은 중학 수학과는 차원이 다른 논리적 사고를 요구합니다. 단순히 공식을 외우는 것을 넘어, 문제 속에 숨어 있는 조건을 찾아내는 훈련이 필수적입니다. 마플시너지는 내신 빈출 유형부터 수능형 고난도 문항까지 단계별로 정복할 수 있도록 설계되어 있습니다.

많은 학생들이 “답지를 보면 실력이 안 는다”라고 걱정합니다. 하지만 제 생각은 다릅니다. 모르는 문제를 붙잡고 1시간을 끙끙대는 것보다, 해설의 논리 흐름을 5분간 정독하고 내 것으로 만드는 것이 훨씬 효율적입니다. 중요한 건 ‘베끼는 것’이 아니라 ‘분석하는 것’이니까요.

공통수학1 다항식 연산 파트 예시

2. 답지 활용의 황금률 (Curator’s Tip)

답지를 다운로드하시기 전에, 제가 학생들에게 항상 강조하는 [3단계 오답 분석법]을 먼저 알려드립니다. 이 방법대로라면 답지는 단순한 정답 확인용이 아닌 최고의 선생님이 됩니다.

  • 1단계 (힌트 얻기): 해설지의 첫 줄만 읽습니다. 도입부 아이디어만 얻고 다시 풀어보세요.
  • 2단계 (논리 추적): 중간 과정에서 막혔다면, ‘왜 여기서 이 공식을 썼을까?’를 고민하며 해설을 따라가세요.
  • 3단계 (백지 복습): 해설을 덮고, 백지에 처음부터 끝까지 내 힘으로 다시 풀어내야 진짜 내 실력이 됩니다.
행렬과 방정식 문제 풀이 노트

3. 등급을 가르는 핵심 단원 체크

이번 공통수학1 과정에서 가장 주의 깊게 봐야 할 부분은 역시 ‘행렬(Matrix)’‘순열과 조합’입니다. 특히 행렬은 교육과정에 재진입한 파트라 기출문제가 부족한데, 마플시너지에서는 풍부한 신규 문항을 제공하고 있습니다.

또한, 나머지정리와 인수분해 파트는 고난도 킬러 문항으로 자주 출제되니, 해설지의 ‘다른 풀이’까지 꼼꼼하게 챙겨 보시는 것을 추천합니다.

주요 수학 공식 요약 정리

4. PDF 다운로드 및 마무리

수학은 엉덩이 싸움이기도 하지만, 결국은 ‘방향성’ 싸움입니다. 올바른 해설을 통해 출제자의 의도를 파악하는 훈련을 반복하세요. 포기하지 않고 꾸준히 풀어나간다면, 복잡해 보이는 수식들 속에서 반드시 정답으로 가는 길을 발견하게 될 것입니다.

여러분의 수학 1등급을 진심으로 응원합니다. 아래 버튼을 통해 자료를 확인하실 수 있습니다.

마플시너지 해설지 표지

📂 마플시너지 공통수학1 정답과 해설

파일 용량이 크므로(약 10MB) 와이파이 환경을 권장합니다.
저작권 보호를 위해 개인 학습 용도로만 사용해주세요.


빠른 답지 PDF 다운로드
📌 참고사항: 파일이 열리지 않을 경우 PDF 뷰어 앱을 설치하시거나, 브라우저를 새로고침 해보세요.

마플시너지 대수 답지 해설 (1601~1650번) - 2025 최신판

마플시너지 대수 답지 (1601~1650번)

수열 단원 1등급 도전 및 심화

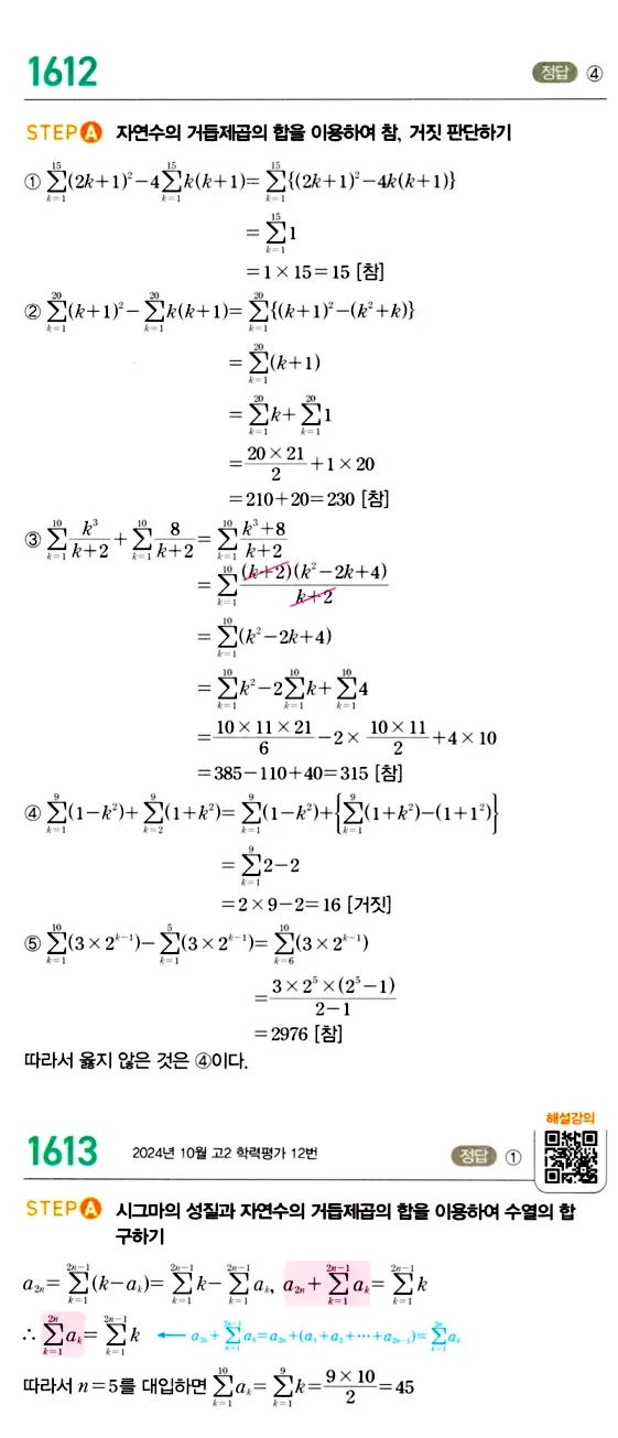
마플시너지 대수(공통수학1) 1601번부터 1650번까지의 해설입니다.

이 구간에서는 수열의 극한이나 함수의 극한으로 넘어가기 전, 수열 파트의 가장 어려운 킬러 문항 및 1등급 도전 문제들을 다룹니다. 문제에 숨겨진 규칙성을 찾고 여러 개념을 융합하여 해결하는 능력이 필요합니다.

마플시너지 대수 답지 1601-1650번 1
- 1 -
마플시너지 대수 답지 1601-1650번 2
- 2 -
마플시너지 대수 답지 1601-1650번 3
- 3 -
마플시너지 대수 답지 1601-1650번 4
- 4 -
마플시너지 대수 답지 1601-1650번 5
- 5 -
마플시너지 대수 답지 1601-1650번 6
- 6 -
마플시너지 대수 답지 1601-1650번 7
- 7 -
마플시너지 대수 답지 1601-1650번 8
- 8 -
마플시너지 대수 답지 1601-1650번 9
- 9 -
마플시너지 대수 답지 1601-1650번 10
- 10 -
마플시너지 대수 답지 1601-1650번 11
- 11 -
마플시너지 대수 답지 1601-1650번 12
- 12 -
마플시너지 대수 답지 1601-1650번 13
- 13 -
마플시너지 대수 답지 1601-1650번 14
- 14 -
마플시너지 대수 답지 1601-1650번 15
- 15 -
마플시너지 대수 답지 1601-1650번 16
- 16 -
마플시너지 대수 답지 1601-1650번 17
- 17 -
마플시너지 대수 답지 1601-1650번 18
- 18 -
마플시너지 대수 답지 1601-1650번 19
- 19 -
마플시너지 대수 답지 1601-1650번 20
- 20 -
마플시너지 대수 답지 1601-1650번 21
- 21 -
마플시너지 대수 답지 1601-1650번 22
- 22 -
마플시너지 대수 답지 1601-1650번 23
- 23 -
마플시너지 대수 답지 1601-1650번 24
- 24 -
마플시너지 대수 답지 1601-1650번 25
- 25 -
마플시너지 대수 답지 1601-1650번 26
- 26 -
마플시너지 대수 답지 1601-1650번 27
- 27 -
마플시너지 대수 답지 1601-1650번 28
- 28 -
마플시너지 대수 답지 1601-1650번 29
- 29 -
마플시너지 대수 답지 1601-1650번 30
- 30 -
마플시너지 대수 답지 1601-1650번 31
- 31 -
마플시너지 대수 답지 1601-1650번 32
- 32 -
마플시너지 대수 답지 1601-1650번 33
- 33 -
마플시너지 대수 답지 1601-1650번 34
- 34 -
마플시너지 대수 답지 1601-1650번 35
- 35 -

© 2025 마플시너지 학습 자료실. All rights reserved.

본 포스팅의 이미지는 학습 편의를 위해 제공되며, 저작권은 해당 출판사에 있습니다.

댓글 남기기