개념원리 공통수학1 빠른 답지
(2022 개정 교육과정)
안녕하세요. 개념원리 공통수학1 빠른 답지입니다.
본 포스팅은 2022 개정 교육과정이 적용된 공통수학1 교재의 빠른 정답표입니다. 문제 풀이 후 정답만 빠르게 확인하여 채점하는 용도로 활용해 주시기 바랍니다.
※ 이미지가 흐리게 보일 경우, 이미지를 클릭(터치)하여 확대해서 확인하세요.
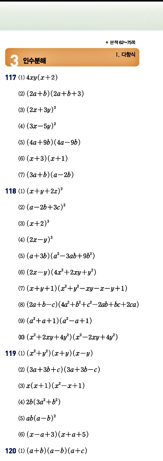
개념원리 공통수학1 정답 (1~28p)
– 1 –
– 2 –
– 3 –
– 4 –

– 6 –
– 7 –
– 8 –
– 9 –
– 10 –
– 11 –

– 13 –
– 14 –
– 15 –
– 16 –
– 17 –
– 18 –
– 19 –
– 20 –
– 21 –
– 22 –
– 23 –
– 24 –

– 26 –
– 27 –
– 28 –
⚠️ 저작권 안내 및 이용 주의사항
- 본 블로그에 게시된 모든 자료(답지 및 해설)의 저작권은 해당 교재의 출판사에 있습니다.
- 자료는 오직 학생들의 채점, 오답 정리, 자기주도 학습용으로만 활용해 주시기 바랍니다.
- 제공된 파일을 상업적으로 이용하거나, 타 사이트에 무단 배포하여 발생하는 모든 법적 책임은 이용자 본인에게 있습니다.
- 저작권 관련 문제가 있거나 삭제를 원하시는 출판사 관계자분께서는 [leinbow@gmail.com]로 연락 주시면 즉시 조치하겠습니다.