개념원리 미적분1 빠른 답지
(고화질 정답표)
안녕하세요. 개념원리 미적분1 빠른 답지 자료입니다.
본 포스팅은 문제 풀이 후 빠르고 간편하게 정답을 확인하실 수 있도록 준비된 요약 답지입니다. 상세한 해설이 필요하신 분은 해설집을 참고해 주시기 바랍니다.
※ 이미지가 잘 보이지 않을 경우 클릭하여 확대해서 확인하세요.
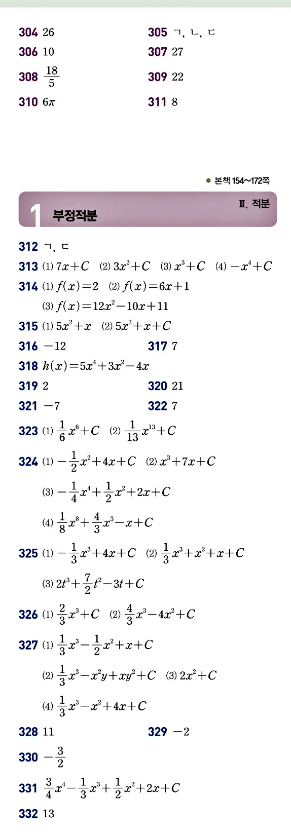
정답 및 확인 (1 ~ 10p)
– 1 –
– 2 –
– 3 –
– 4 –

– 6 –
– 7 –
– 8 –
– 9 –
– 10 –
⚠️ 저작권 안내 및 이용 주의사항
- 본 블로그에 게시된 모든 자료(답지 및 해설)의 저작권은 해당 교재의 출판사에 있습니다.
- 자료는 오직 학생들의 채점, 오답 정리, 자기주도 학습용으로만 활용해 주시기 바랍니다.
- 제공된 파일을 상업적으로 이용하거나, 타 사이트에 무단 배포하여 발생하는 모든 법적 책임은 이용자 본인에게 있습니다.
- 저작권 관련 문제가 있거나 삭제를 원하시는 출판사 관계자분께서는 [leinbow@gmail.com]로 연락 주시면 즉시 조치하겠습니다.