개념쎈 미적분 1 & 개념쎈 라이트 미적분 1 답지 (전페이지)
수학 공부의 든든한 동반자, 개념쎈 미적분 1과 개념쎈 라이트 미적분 1로 학습 중인 수험생 여러분을 응원합니다!
답지를 분실했거나 외부에서 급하게 정답을 확인해야 하는 경우를 위해 개념쎈미적분1답지 및 라이트 버전의 모든 페이지를 정리했습니다. 본 포스팅에서는 채점을 돕는 빠른 답지를 상단에 배치하고, 상세 해설 이미지를 오름차순으로 제공합니다.
학습의 편의를 위해 페이지별로 나열하였으니 필요한 부분을 스크롤하여 확인해 보세요.
1. 빠른 정답 확인 (채점용)
먼저 빠르게 정답만 확인하여 채점하고 싶은 분들을 위한 빠른 답지 모음입니다.




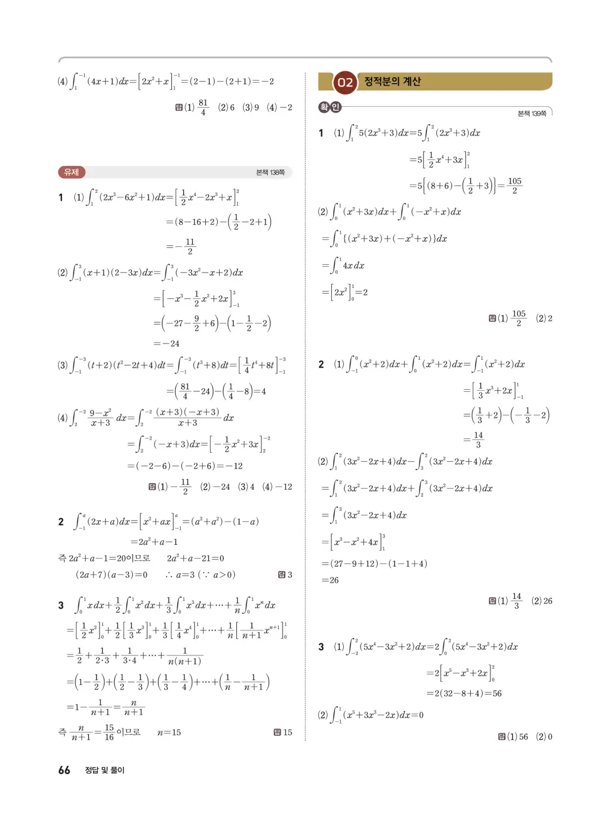
2. 개념쎈 라이트 미적분 1 상세 해설 (오름차순)
1페이지부터 88페이지까지의 상세 풀이 과정입니다. 개념쎈라이트미적분1답지 이미지를 통해 어려운 문제의 원리를 파악해 보세요.
























































































💡 답지 활용 팁
답지는 단순히 베끼기 위한 용도가 아닙니다. 모르는 문제는 최소 15분 이상 스스로 고민한 뒤에 해설을 참고하세요. 해설지를 볼 때는 풀이의 논리적인 흐름을 파악하고, 이해한 뒤에는 반드시 덮고 다시 한번 스스로 풀어보는 것이 실력 향상의 지름길입니다.