알피엠미적분1답지 바로보는사진답지 모바일최적화

알피엠(RPM) 미적분1 답지 (전체) | 유형의 완성

📚 알피엠(RPM) 미적분1 답지 (전체)

다양한 유형의 문제를 통해 실전 감각을 키워주는 ‘개념원리 RPM 미적분1’의 정답과 해설입니다.
이 포스트에서는 교재의 1페이지부터 128페이지까지의 전체 해설을 순서대로 확인하실 수 있습니다.

알피엠은 교과서 핵심 개념을 바탕으로 다양한 유형의 문제를 제공하여 내신 대비에 최적화된 교재입니다. 문제를 풀다가 막히는 유형이 있다면, 해설지의 ‘유형별 공략 포인트’를 확인하여 문제 해결의 열쇠를 찾으시기 바랍니다.

💡 알피엠 100% 활용법
  • 유형 익히기: 각 단원의 대표 유형 문제를 먼저 완벽하게 이해하고, 유제 문제를 통해 적용력을 키우세요.
  • 오답 노트: 틀린 문제는 어떤 유형인지 파악하고, 해설지의 풀이 과정을 참고하여 나만의 풀이법으로 정리하세요.
  • 서술형 대비: ‘시험에 꼭 나오는 문제’의 서술형 문항은 풀이 과정을 논리적으로 서술하는 연습을 하기에 좋습니다.
Page 1
알피엠 미적분1 답지 1페이지
Page 2
알피엠 미적분1 답지 2페이지
Page 3
알피엠 미적분1 답지 3페이지
Page 4
알피엠 미적분1 답지 4페이지
Page 5
알피엠 미적분1 답지 5페이지
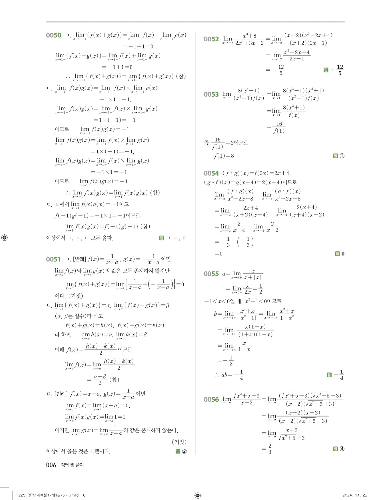
Page 6
알피엠 미적분1 답지 6페이지
Page 7
알피엠 미적분1 답지 7페이지
Page 8
알피엠 미적분1 답지 8페이지
Page 9
알피엠 미적분1 답지 9페이지
Page 10
알피엠 미적분1 답지 10페이지
Page 11
알피엠 미적분1 답지 11페이지
Page 12
알피엠 미적분1 답지 12페이지
Page 13
알피엠 미적분1 답지 13페이지
Page 14
알피엠 미적분1 답지 14페이지
Page 15
알피엠 미적분1 답지 15페이지
Page 16
알피엠 미적분1 답지 16페이지
Page 17
알피엠 미적분1 답지 17페이지
Page 18
알피엠 미적분1 답지 18페이지
Page 19
알피엠 미적분1 답지 19페이지
Page 20
알피엠 미적분1 답지 20페이지
Page 21
알피엠 미적분1 답지 21페이지
Page 22
알피엠 미적분1 답지 22페이지
Page 23
알피엠 미적분1 답지 23페이지
Page 24
알피엠 미적분1 답지 24페이지
Page 25
알피엠 미적분1 답지 25페이지
Page 26
알피엠 미적분1 답지 26페이지
Page 27
알피엠 미적분1 답지 27페이지
Page 28
알피엠 미적분1 답지 28페이지
Page 29
알피엠 미적분1 답지 29페이지
Page 30
알피엠 미적분1 답지 30페이지
Page 31
알피엠 미적분1 답지 31페이지
Page 32
알피엠 미적분1 답지 32페이지
Page 33
알피엠 미적분1 답지 33페이지
Page 34
알피엠 미적분1 답지 34페이지
Page 35
알피엠 미적분1 답지 35페이지
Page 36
알피엠 미적분1 답지 36페이지
Page 37
알피엠 미적분1 답지 37페이지
Page 38
알피엠 미적분1 답지 38페이지
Page 39
알피엠 미적분1 답지 39페이지
Page 40
알피엠 미적분1 답지 40페이지
Page 41
알피엠 미적분1 답지 41페이지
Page 42
알피엠 미적분1 답지 42페이지
Page 43
알피엠 미적분1 답지 43페이지
Page 44
알피엠 미적분1 답지 44페이지
Page 45
알피엠 미적분1 답지 45페이지
Page 46
알피엠 미적분1 답지 46페이지
Page 47
알피엠 미적분1 답지 47페이지
Page 48
알피엠 미적분1 답지 48페이지
Page 49
알피엠 미적분1 답지 49페이지
Page 50
알피엠 미적분1 답지 50페이지
Page 51
알피엠 미적분1 답지 51페이지
Page 52
알피엠 미적분1 답지 52페이지
Page 53
알피엠 미적분1 답지 53페이지
Page 54
알피엠 미적분1 답지 54페이지
Page 55
알피엠 미적분1 답지 55페이지
Page 56
알피엠 미적분1 답지 56페이지
Page 57
알피엠 미적분1 답지 57페이지
Page 58
알피엠 미적분1 답지 58페이지
Page 59
알피엠 미적분1 답지 59페이지
Page 60
알피엠 미적분1 답지 60페이지
Page 61
알피엠 미적분1 답지 61페이지
Page 62
알피엠 미적분1 답지 62페이지
Page 63
알피엠 미적분1 답지 63페이지
Page 64
알피엠 미적분1 답지 64페이지
Page 65
알피엠 미적분1 답지 65페이지
Page 66
알피엠 미적분1 답지 66페이지
Page 67
알피엠 미적분1 답지 67페이지
Page 68
알피엠 미적분1 답지 68페이지
Page 69
알피엠 미적분1 답지 69페이지
Page 70
알피엠 미적분1 답지 70페이지
Page 71
알피엠 미적분1 답지 71페이지
Page 72
알피엠 미적분1 답지 72페이지
Page 73
알피엠 미적분1 답지 73페이지
Page 74
알피엠 미적분1 답지 74페이지
Page 75
알피엠 미적분1 답지 75페이지
Page 76
알피엠 미적분1 답지 76페이지
Page 77
알피엠 미적분1 답지 77페이지
Page 78
알피엠 미적분1 답지 78페이지
Page 79
알피엠 미적분1 답지 79페이지
Page 80
알피엠 미적분1 답지 80페이지
Page 81
알피엠 미적분1 답지 81페이지
Page 82
알피엠 미적분1 답지 82페이지
Page 83
알피엠 미적분1 답지 83페이지
Page 84
알피엠 미적분1 답지 84페이지
Page 85
알피엠 미적분1 답지 85페이지
Page 86
알피엠 미적분1 답지 86페이지
Page 87
알피엠 미적분1 답지 87페이지
Page 88
알피엠 미적분1 답지 88페이지
Page 89
알피엠 미적분1 답지 89페이지
Page 90
알피엠 미적분1 답지 90페이지
Page 91
알피엠 미적분1 답지 91페이지
Page 92
알피엠 미적분1 답지 92페이지
Page 93
알피엠 미적분1 답지 93페이지
Page 94
알피엠 미적분1 답지 94페이지
Page 95
알피엠 미적분1 답지 95페이지
Page 96
알피엠 미적분1 답지 96페이지
Page 97
알피엠 미적분1 답지 97페이지
Page 98
알피엠 미적분1 답지 98페이지
Page 99
알피엠 미적분1 답지 99페이지
Page 100
알피엠 미적분1 답지 100페이지
Page 101
알피엠 미적분1 답지 101페이지
Page 102
알피엠 미적분1 답지 102페이지
Page 103
알피엠 미적분1 답지 103페이지
Page 104
알피엠 미적분1 답지 104페이지
Page 105
알피엠 미적분1 답지 105페이지
Page 106
알피엠 미적분1 답지 106페이지
Page 107
알피엠 미적분1 답지 107페이지
Page 108
알피엠 미적분1 답지 108페이지
Page 109
알피엠 미적분1 답지 109페이지
Page 110
알피엠 미적분1 답지 110페이지
Page 111
알피엠 미적분1 답지 111페이지
Page 112
알피엠 미적분1 답지 112페이지
Page 113
알피엠 미적분1 답지 113페이지
Page 114
알피엠 미적분1 답지 114페이지
Page 115
알피엠 미적분1 답지 115페이지
Page 116
알피엠 미적분1 답지 116페이지
Page 117
알피엠 미적분1 답지 117페이지
Page 118
알피엠 미적분1 답지 118페이지
Page 119
알피엠 미적분1 답지 119페이지
Page 120
알피엠 미적분1 답지 120페이지
Page 121
알피엠 미적분1 답지 121페이지
Page 122
알피엠 미적분1 답지 122페이지
Page 123
알피엠 미적분1 답지 123페이지
Page 124
알피엠 미적분1 답지 124페이지
Page 125
알피엠 미적분1 답지 125페이지
Page 126
알피엠 미적분1 답지 126페이지
Page 127
알피엠 미적분1 답지 127페이지
Page 128
알피엠 미적분1 답지 128페이지

댓글 남기기